Cycle 13 Proposer’s Guide
Cycle 13 Call for Proposals
The ALMA Director, on behalf of the Joint ALMA Observatory (JAO) and the partner organizations in East Asia, Europe, and North America, is pleased to announce the ALMA Cycle 13 Call for Proposals (CfP) for scientific observations to be scheduled from October 2026 to September 2027. We encourage interested parties to follow the ALMA Science Portal (www.almascience.org) for the latest information.
The JAO anticipates allocating 4300 hours on the 12-m Array and 4300 hours on the Atacama Compact Array (ACA), also known as the Morita Array, for successful proposals in Cycle 13. The ACA allocation includes 4300 hours each on the 7-m Array and the Total Power (TP) Array. Proposals must be prepared and submitted using the ALMA Observing Tool (OT).
Proposal reviews will be conducted via a dual-anonymous process. While proposers will still enter their names and affiliations in the ALMA OT, their identities will be concealed from the science reviewers. It will be the responsibility of the investigators to write their proposals such that anonymity is preserved. In addition, ALMA is using distributed peer review for proposals requesting less than 50 hours on the 12-m Array and for ACA stand-alone proposals requesting less than 150 hours on the 7-m Array. The Principal Investigator (PI) for such proposals, or a designee from the list of investigators, will review and rank 10 submitted proposals from this Call, for each proposal submitted.
ALMA Cycle 13 proposal submission will open at 15:00 Universal Coordinated Time (UTC) on Thursday, 19 March 2026. The Cycle 13 proposal submission deadline is 15:00 UTC on Thursday, 23 April 2026. These and other important milestones for Cycle 13 are summarized in Table 1. PIs are responsible for submitting their proposals successfully by the deadline and are strongly advised to submit proposals early.
ALMA provides continuum and spectral-line capabilities for wavelengths from 0.32 mm to 8.5 mm, and angular resolutions from 0.0059″ to 8.5″ on the 12-m Array. In Cycle 13, Bands 1 through 10 are offered in configurations C-1 through C-10. These combinations will provide angular resolutions as fine as 0.0059″. Cycle 13 will offer the new capability of Band 2 observations on the 12-m Array.
ALMA encourages proposals in configurations, Local Sidereal Time (LST) ranges, and receiver bands that have been historically less heavily requested, including:
-
ACA, especially in the LST range of 20h to 1h (note that ACA stand-alone proposals had, on average, a very high acceptance rate of 76% in Cycle 12).
-
High frequency (Bands 8, 9, and 10) in any configuration. Please see Appendix A.5.3 for specific challenges for observing spectral lines in Bands 9 and 10 with narrow spectral windows ( < 128 MHz). PIs are encouraged to contact their ALMA Regional Center (for EA and NA) or Centre (for Europe) (ARC) for support when preparing their proposals in such cases to ensure technical feasibility.
-
Low frequency (Bands 1 through 4) at long baselines (C-7 through C-10), particularly for proposals focused on sources near Right Ascension (RA) of 22h. Proposals that request only the low frequency bands (Bands 1 through 4) are likely to have above-average acceptance rates.
This will help ensure there are no gaps in the observing queue, particularly in the case that the weather is better or worse than nominal.
This Proposer’s Guide provides an overview of significant changes since Cycle 12 made in both the technical capabilities and observing strategies (Section 1), an overview of the ALMA organization (Section 2), the proposal types offered in Cycle 13 (Section 3), information on proposal planning (Section 4), proposal submission (Section 5), and post-proposal activities (Section 6). This document also includes an overview of the offered technical capabilities (Appendix A), guidelines for writing a Technical Justification (Appendix B), a list of acronyms and abbreviations used in this document (Appendix C), and a list of the ALMA science categories and keywords (Appendix D).
| Date | Milestone |
|---|---|
| Thursday, 19 March 2026 (15:00 UTC) | Release of Cycle 13 Call for Proposals, Observing Tool, and supporting documents, and opening of the Archive for proposal submission |
| Thursday, 23 April 2026 (15:00 UTC) | Proposal submission deadline for Cycle 13 Call for Proposals |
| 03 June 2026 (15:00 UTC) | Deadline to submit reviews for the distributed peer review system |
| August 2026 | Announcement of the outcome of the proposal review process |
| 01 October 2026 | Start of ALMA Cycle 13 Science Observations (anticipated) |
| 30 September 2027 | End of ALMA Cycle 13 |
Table 1: The ALMA Cycle 13 Timeline
1. What’s new in Cycle 13
This section summarizes significant changes made since Cycle 12. Any changes, clarifications, or bugs that are discovered after the publication of this Proposer’s Guide will be documented in the Knowledgebase Article:
What Cycle 13 proposal issues and clarifications should I be aware of before submitting my proposal? Proposers should check this article regularly, especially just before submitting their proposals.
1.1 Band 2 on the 12-m Array
Observing capabilities are given in Appendix A and fully described in the ALMA Cycle 13 Technical Handbook (hereafter, the Technical Handbook). New capabilities in Cycle 13 include:
-
Band 2 on the 12-m Array. Band 2, covering 67–116 GHz, is offered for the 12-m Array, including full polarization with a single pointing.
1.2 Web-based ALMA Observing Tool
Starting in Cycle 13, the desktop-based OT has been replaced by a web-based OT that can be accessed at https://cycle-13.sps.alma.cl. For details on the capabilities of the web-based OT, please see the OT documentation linked in Section 4.6.1.
1.3 Angular Resolution and Maximum Recoverable Scale Tables
The presentation of the Angular Resolution (AR) and Maximum Recoverable Scale (MRS) has been modified to better communicate the range in AR that can be achieved with the operational configurations. An updated Table A-1 shows the ranges in AR that are achievable within a given configuration as a function of observing band. For clarity, the MRS that can be achieved with these configurations has been moved into the new Table A-2. The configurations, ARs, and MRSs have not changed from what was achieved in previous cycles.
1.4 ESO Guaranteed Time Observations
In Cycle 13, up to 24 hours of the European share of ALMA observing time will be allocated as Guaranteed Time Observations (GTOs). These GTOs will be awarded in exchange for contributions to the ALMA Development Program. See Section 3.7 for details.
1.5 Changes to Operational Policies and Procedures
The policy on changes to ALMA proposals has been updated. Several of these items are described below, but for details PIs should review the referenced Proposer’s Guide document sections as well as Section 8 and Appendix D of the ALMA Users’ Policies.
-
Sun-target separation limit exception: ALMA observations of non-Solar targets are not allowed when the science target is within 15 degrees of the Sun. To request an exception to this policy, PIs must submit a Major Change Request. Approved exceptions will be carried out on a best efforts basis. See Appendix D of the ALMA Users’ Policies for details and other important considerations.
-
Coordinated observations between ALMA and other observatories: All proposals whose science case requires coordinated observations between ALMA and other observatories must explicitly indicate this in the scientific justification. This includes, but is not limited to: Joint, Target of Opportunity (ToO), and Solar proposals. For approved proposals, the PI is responsible for coordinating with the other observatories and should declare the need for coordinated observations in their Phase 2 project Helpdesk ticket. See Appendix A.10.
-
Time-constrained observations: PIs should define in the OT, at the time of proposal submission, all time windows that would satisfy the scientific needs of the project. See Appendix A.10.
Additional criteria regarding change requests for time constrained observations have been added to the Definition of a Major Change Request in Appendix B of the ALMA Users’ Policies.
2. ALMA overview
2.1 The ALMA partnership
ALMA, an international astronomy facility, is a partnership of the European Organisation for Astronomical Research in the Southern Hemisphere (ESO), the U.S. National Science Foundation (NSF) and the National Institutes of Natural Sciences (NINS) of Japan in cooperation with the Republic of Chile. ALMA operations are led by ESO on behalf of its Member States; by the National Radio Astronomy Observatory (NRAO), managed by Associated Universities, Inc. (AUI), on behalf of North America; and by the National Astronomical Observatory of Japan (NAOJ) on behalf of East Asia. JAO provides the unified leadership and management of the commissioning and operation of ALMA.
2.2 The ALMA telescope
ALMA contains 66 high-precision antennas. Fifty of these are 12-meter dishes in the 12-m Array, used for sensitive, high-resolution imaging. The remaining sixteen make up the ACA, used to enhance wide-field imaging: twelve are closely spaced 7-meter antennas (7-m Array), and four are 12-meter antennas for single-dish observations (TP Array). The wavelengths covered by ALMA range from 0.32 mm to 8.5 mm (frequency coverage of 35 GHz to 950 GHz).
The Array is located on the Chajnantor plateau of the Chilean Andes at latitude = −23.029∘, longitude = −67.755∘ and an altitude of 5000 m. The site (referred to as the Array Operations Site (AOS)) offers the exceptionally dry and clear sky conditions required to operate at millimeter and submillimeter wavelengths. The AOS is connected via gigabit fiber links to the Operation Support Facility (OSF), located at an altitude of 2900 m and 40 km from the town of San Pedro de Atacama. Science operations are conducted from the OSF and the JAO Santiago Central Office (SCO).
The Technical Handbook contains a detailed description of the ALMA technical characteristics.
2.3 The Joint ALMA Observatory and the ALMA Regional Centers
The JAO is responsible for the overall leadership and management of ALMA operations in Chile. The JAO solicits proposals to observe with ALMA through Calls for Proposals and organizes the peer review of the proposals by science experts. In addition, the JAO schedules all science observations and places the data in the electronically accessible Archive.
The three Executives maintain the ARCs within their respective regions. The ARCs provide the interface between the ALMA Observatory and its user communities. The ARCs are responsible for user support, mainly in the areas of proposal preparation, observation preparation, acquisition of data through the Archive, data reduction, data analysis, data delivery, face-to-face visitor support, and workshops, tutorials, and schools. Each ARC operates an archive that mirrors the SCO Archive. Browsing and data mining are done through the ARC mirror archives.
The East Asian ARC (EA ARC) is based at the NAOJ headquarters in Tokyo. It is operated in collaboration with Academia Sinica Institute of Astronomy and Astrophysics (ASIAA) in Taiwan and Korea Astronomy and Space Science Institute (KASI) in Korea and supports the astronomical communities of Japan, Taiwan1 and the Republic of Korea.
European researchers are supported by the European ARC, which is organized as a coordinated network of scientific support nodes distributed across Europe. The European ARC is located at ESO Headquarters in Garching bei München (Germany), where many of the ARC activities take place. Face-to-face support and additional services are provided by seven regional nodes. The regional nodes are currently: Bonn-Cologne (Germany), Bologna (Italy), Onsala (Sweden), IRAM, Grenoble (France), Allegro, Leiden (The Netherlands), Manchester (United Kingdom) and Ondřejov (Czech Republic).
The North American ARC (NA ARC) is contained within the North American ALMA Science Center (NAASC), based at NRAO headquarters in Charlottesville, VA, USA. It is operated in collaboration with the National Research Council of Canada (NRC) (Canada) and the National Science and Technology Council (NSTC) (Taiwan), and supports the astronomical communities of North America and Taiwan.1
2.4 The ALMA Science Portal
The ALMA Science Portal, accessible at http://almascience.org, is the primary access point to ALMA for science users. It provides a gateway to all ALMA resources, documents and tools relevant to users for proposal preparation, proposal assessment, project tracking, project data access and data retrieval, as well as access to the ALMA Helpdesk.
From the Science Portal, anyone can:
-
Register as an ALMA user.
-
Access ALMA user documentation and software tools, including the ALMA Sensitivity Calculator, observing simulators, and the ALMA spectral-line database (Splatalogue).
-
Access the ALMA OT.
-
Access ALMA Helpdesk“Knowledgebase” articles, which provide answers to common questions.
-
Access non-proprietary data from the ALMA Archive.
In addition, registered users may:
-
Manage their user profile. Here, users can specify their area of expertise and conflicts of interest, set an option to receive automatic email notifications of the progress of their observations, grant access to proprietary data for other ALMA users, and delegate the right to trigger ToO observations to another selected ALMA user.
-
Access Snooping Project Interface (SnooPI), the tool for PIs, Co-Principal Investigators (Co-PIs), Co- Investigators (Co-Is), and any other user designated by the PIs, to monitor the status of their scheduled observing projects.
-
Submit ALMA Helpdesk tickets.
-
Trigger ToO observations.
-
Access their proprietary data through the ALMA Archive.
The Science Portal also includes links to the ARCs’ webpages, from which users can access regional information and specific services of each ARC. This includes visitor and student programs, schools, workshops, and outreach materials and activities.
Users must update their ALMA user profile, rather than registering multiple accounts, whenever there is a change in their personal information such as a new email address or a change of affiliation (see the ALMA Users’ Policies). Users are encouraged to complete the “Demographics” section of their profile to help ALMA provide adequate user support and also to select keywords corresponding to their scientific expertise to help with distributed peer review (Section 5.7.1).
2.5 ALMA proposal eligibility
Users of any nationality or affiliation may submit an ALMA proposal. All proposals are evaluated on the basis of scientific merit by a distributed peer review system or by a panel-based proposal review system.
Each proposal must have a PI who is the official contact between ALMA and the proposing team for all correspondence related to the project. Large Program proposals may designate Co-PIs, who will share the overall responsibility of conducting the proposed science. If Co-PIs are identified, the requested observing time will be split among the regions (North America, Europe, East Asia, and Chile) in proportion to the affiliations of the PI and Co-PIs (see Section 5.7.3).
Regardless of the inclusion of Co-PIs, the PI has proprietary access to the ALMA data during the proprietary period, and is in charge of the delivery of the value-added data products in the case of Large Programs, in accordance with the ALMA Users’ Policies. Any other individuals who are actively involved in any proposal may be designated as Co-Is (or Co-PIs in the case of Large Programs). There is no limit to the number of Co-Is (or Co-PIs in the case of Large Programs) who may appear on a proposal.
Additional rules apply for qualification to use the Chilean share of the time and they are described at:
http://www.das.uchile.cl/~alma_crc/.
Users are reminded of the ALMA Users’ Policies that prohibit the following:
-
Multiple submissions of the same proposal using different regional affiliations. If such proposals are detected, only the first submitted version will be considered.
-
Submission of proposals to the same proposal call by an individual user using more than one affiliation.
-
The deliberate use of an incorrect affiliation or Executive.
3. Proposal types
3.1 Regular proposals
Regular proposals relate to observations that can be fully specified by the proposal submission deadline and whose estimated execution time does not exceed 50 hours on the 12-m Array or 150 hours on the 7-m Array in stand-alone mode. Regular proposals may involve time-critical, multiple-epoch observations, and the monitoring of a target over a fixed time interval.
The JAO aims to have a diverse scientific portfolio by executing a balance of programs with various sizes in terms of observing time. Figure 1 (left panel) shows that most Cycle 12 proposals requested between 2 and 20 hours of 12-m Array time. The success rate of proposals was independent of the requested 12-m Array time (Figure 1, right panel).
No restrictions are imposed on the size of the time window specified by PIs for time-critical observations (see Appendix A.10). The scheduling feasibility of any proposal will depend on the total number of constraints that are imposed (see Section 4.3). Importantly, any time constraint, as with any other type of observational constraint, must be scientifically and technically justified.

3.2 Target of Opportunity proposals
ToO proposals should be submitted for observations that can be anticipated but whose targets and/or time of observation are not known in advance. Like Regular proposals, these proposals must be submitted by the Cycle 13 proposal deadline. Regular proposals wrongly submitted by the PI as ToO proposals may be rejected on technical grounds.
As for all other types of proposals, observing modes and sensitivity requests must be specified at the time of submission. In contrast, the target list may be specified at the moment of triggering the proposal. For each triggered Science Goal (SG) the proposal should specify the number of triggers needed, what the trigger event will be, and the necessary reaction time for scheduling the observation after it is triggered. If it is desirable to use a first epoch of observations to assess target properties (e.g., suitability for monitoring), it is recommended that PIs create single-visit Science Goals (SGs) for this purpose, separate from multi-visit SGs for any subsequent monitoring. Creating one or more single-visit SGs for target evaluation is intended to avoid the need for submitting Major Change Requests should the properties of the chosen target be unsuitable for further visits. PIs should be aware that, once a monitoring SG is triggered on a source, any remaining unused visits within that SG cannot be re-assigned unless fully justified and approved through a Major Change Request (see Section 6.2).
The JAO will give priority to observing ToO proposals during the time period requested by the PI after a trigger request has been submitted, provided the appropriate scheduling conditions (mainly weather and antenna configuration, see Section 4.3) are met and the observations do not conflict with critical engineering and development activities or critical observations with a higher grade. PIs will trigger observations from accepted ToO proposals through the Project Trigger Submission Page available at the ALMA Helpdesk.
-
PIs of accepted ToO programs are encouraged to begin coordination of observations with their Contact Scientist (CS) prior to triggering. This is particularly important if the PI expects to coordinate observations with one or more other observatories or if the triggering is expected to request a turnaround of less than 72 hours between trigger and observations.
-
For requests of reaction times under 24 hours, PIs are recommended to give notice as early as possible about target coordinates or redshift for preparation of the Phase 2 Scheduling Blocks (SBs).
-
When triggering ToO observations, PIs should bear in mind possible conflicts with engineering and computing work at the observatory (see Appendix A.10 for the nominal schedule). The high-level weekly plan for the observatory is typically set on Tuesdays and, with advance planning, scientific observations can be conducted during computing and engineering time blocks. PIs should not be discouraged from triggering observations during these time windows and are encouraged to work with their CS via the ALMA Helpdesk to coordinate their observations/triggers.
Further instructions on how to trigger a project are available at the ToO Activation page on the Science Portal. Upon receiving a trigger, ALMA will communicate with the PI through the ALMA Helpdesk ticket to clarify any remaining issues.
3.3 Large Programs
Large Programs are proposals with an estimated execution time of greater than 50 hours on the 12-m Array (with or without accompanying ACA time) or 150 hours on the 7-m Array in stand-alone mode. Large Programs cannot include: time-critical or ToO observations, full polarization measurements, solar observations, Very Long Baseline Interferometry (VLBI), Phased Array mode, Astrometric observations (see Appendix A.9.5) or observations requiring bandwidth switching calibration (see Appendix A.9.6). Large Programs may fill up to 33 % of the available time for a given LST range in the 12-m Array configurations C-9 and C-10 and up to 50% of the time in the remaining Cycle 13 configurations (i.e., the ACA and C-1 through C-8). It is the responsibility of the proposing team to ensure that the requested observations comply with these requirements. See Section 5.5.1 for more details on scheduling requirements and Section 4.3.3 for the configuration schedule and time available per configuration.
A Large Program proposal should address strategic scientific issues that will lead to a major advance or breakthrough in the field, be a coherent science project and not reproducible by a combination of Regular proposals, lead to value-added data products, and contain a solid management plan ensuring an efficient utilization of the data. Consequently, the proposal team should not submit one or more Regular proposals for the same observations in parallel with a Large Program. In such a case, the Regular proposals would not be considered. Further details are available in the Knowledgebase article “Are there policies specific to Large Programs?”.
Large Program teams are expected to deliver their proposed value-added data products and documentation describing the data products to ALMA within one year of the final delivery of calibrated products. The value-added data products and documents will be made available to the community at large. The Science Portal contains a document describing the standards for Large Program enhanced products to ensure their proper ingestion into the ALMA Science Archive.
3.4 mm-VLBI and Phased Array proposals
ALMA VLBI proposals may be made in concert with the Global Millimeter VLBI Array (GMVA) at 7 mm (Band 1) or 3 mm (Band 3) or with the Event Horizon Telescope (EHT) network at 1.3 mm (Band 6) or 0.87 mm (Band 7). For all 7 mm and 3 mm VLBI observations, PIs must have submitted a proposal to the GMVA network by 04 February 2026 in addition to their ALMA VLBI proposal.
ALMA-specific VLBI considerations are given in Appendix A.12 of this document. Further details on submitting 7 mm and 3 mm VLBI proposals to the GMVA are available from the GMVA website. Further details on submitting 1.3 mm and 0.87 mm VLBI proposals using the EHT are available from the EHT website.
VLBI proposals should include a quantitative justification describing why ALMA is essential for the project. VLBI observations cannot be included in Large Programs. VLBI observations for Cycle 13 that include ALMA will likely be carried out in March–May 2027.
Approved VLBI projects that are not executed or that result in failed observations will not be carried over to the next cycle. Given that the outcome of Cycle 12 VLBI proposals may not be known before the ALMA Cycle 13 proposal deadline, PIs of such proposals may wish to resubmit their proposals in Cycle 13 in case the Cycle 12 observations are unsuccessful. No resubmission to the GMVA call for proposals is needed in such cases. Further details on the handling of resubmitted proposals are available in Section 4.4.2.
Observing capabilities using ALMA’s Phased Array observing mode are described in Appendix A.13 of this document. A maximum of 50 hours of Cycle 13 time will be available for Phased Array mode observations. These observations will take place during the VLBI time blocks, anticipated to be in March–May 2027. Phased Array observations cannot be included in Large Programs.
3.5 Joint Proposals
Proposals can be submitted jointly with ALMA and the partner facilities: James Webb Space Telescope (JWST), the Very Large Array (VLA), and the Very Large Telescope (VLT). Proposers can submit a Joint Proposal to ALMA that also requests time on any or all of the partner facilities or submit a proposal to one of JWST, VLA, or VLT that requests ALMA time. The intent of Joint Proposals is to facilitate programs that require observations from multiple facilities to achieve the stated science aims, and the need for the requested data must be described in the Scientific Justification. Joint Proposals will follow the users’ policies and call for proposals guidelines of each of the requested partner observatories, as well as the extra limitations and rules imposed on Joint Proposals by each observatory. Joint Proposals must be explicitly specified as such in the ALMA OT and in the submission tools of the partner observatories.
PIs must submit their Joint Proposals to the observatory that requires the most observing time. In the case of ALMA, the relevant time request will be the amount of time requested for the 12-m Array, or the 7-m Array in case of ACA stand-alone proposals. In Joint Proposals, ALMA is the “Main” observatory if it is the observatory with the largest time request, otherwise ALMA is the “Partner” observatory. The same Joint Proposal cannot be submitted to multiple observatories, i.e., a submitted proposal cannot be under review by another observatory. Both ALMA and the partner observatories reserve the right to identify and reject such duplicate submissions.
By agreement, each partner observatory will allow ALMA to allocate time on their telescopes for Joint Proposals submitted to ALMA: Space Telescope Science Institute (STScI) will allow ALMA to allocate up to 115 hours of JWST time; NRAO will allow ALMA to allocate up to 5% of the available time on the VLA; and ESO will allow ALMA to allocate up to 50 hours of VLT time. Similarly, ALMA will allow STScI, NRAO, and ESO to allocate up to 115 hours, 50 hours, and 50 hours respectively, on each of the ALMA Arrays (12-m, 7-m, and TP). These allowed time allocations are summarized in Table 2.
| Partner | Maximum time ALMA can allocate on partner observatory | Maximum time partner observatory can allocate on each ALMA array |
|---|---|---|
| JWST | 115 hours | 115 hours |
| VLA | 5% of available time | 50 hours |
| VLT | 50 hours | 50 hours |
Table 2: Amount of time that can be allocated by ALMA on partner observatories and the amount of time that can be allocated by partner observatories on each ALMA array (i.e., 12-m, 7-m, and TP).
When ALMA is the Main observatory in a Joint Proposal there are no restrictions regarding the observing modes. However, a Joint Proposal in which ALMA is a partner observatory cannot request ALMA time for VLBI or Phased Array observing modes. Requests for ALMA Large Programs are not allowed for Joint Proposals when ALMA is a partner observatory, and therefore the amount of ALMA time requested must be less than that of the ALMA Large Program threshold (see Section 3.3). Limits to the amount of time requested by a single proposal will be defined by each observatory. Time constrained or ToO observations are allowed and should take into account the scheduling limitations and offered response time of each of the observatories involved. The PI will be responsible for triggering observations at each observatory, following the procedures specified by the individual observatories. Any requirement regarding simultaneous or coordinated observations will need to be clearly stated in the proposal, and its feasibility will be evaluated by all observatories.
PIs are responsible for providing the Technical Justification for each of the observatories according to the guidelines provided below. All Joint Proposals will be assessed technically by each of the requested observatories based on the information provided by the PI and, after acceptance, during the preparation of the observations. Each observatory will follow their technical criteria for acceptance. ALMA projects will be evaluated based on the technical feasibility of the requested observations, the scheduling feasibility considering the requested array configuration and any time constraints specified in the proposal. Joint Proposals where ALMA is the Main observatory will be rejected in their entirety if deemed technically infeasible by any of the partner observatories. When ALMA is the partner observatory, the ALMA observations will be canceled if any of the involved observatories declares the proposal technically infeasible. A request for contemporaneous or near-simultaneous observations can be made if scientifically justified and technically feasible, but there is no guarantee that these can/will be executed. For approved proposals, the PI is responsible for coordinating with the other observatories and should declare the need for coordinated observations in their Phase 2 project Helpdesk ticket.
Joint Proposals accepted by ALMA will be assigned Grade A; they will have high observing priority and will remain in the queue for a period of up to two years. Upon acceptance of a Joint Proposal by ALMA, the PIs of the corresponding proposal will be contacted to proceed with project preparation prior to observations at the requested partner observatories. Project IDs for the individual partner observatories will be generated only after acceptance of a Joint Proposal. Additional restrictions may be imposed by STScI depending on circumstances.
Major change requests after a project has been accepted must be submitted to the Main observatory. This includes changes in the time constraints of simultaneous/coordinated observations. Minor changes can be submitted to the observatory where the change is required. The definition of major and minor change request is provided by each observatory and PIs may be asked to submit a major change request if deemed needed.
3.5.1 ALMA proposals requesting JWST time
Joint Proposals requesting JWST time may request standard JWST observing modes. Establishing the technical feasibility of the JWST observations is the responsibility of the PI, who should carefully review the JWST Call for Proposals, JWST Documentation, and/or contact the JWST Helpdesk at jwsthelp.stsci.edu. The JWST Helpdesk offers features to search the documentation and to send your question directly to the appropriate team of experts.
For proposals that are approved by ALMA, STScI will perform final detailed feasibility checks. STScI reserves the right to reject any ALMA-approved Joint Proposal observation that proves infeasible, impossible to schedule, dangerous to the JWST instruments, and/or requires resources beyond those initially approved. Any JWST observations that prove infeasible or impossible could jeopardize the overall science program and will cause revocation of the corresponding ALMA observations and those at any other partner observatory involved. Duplicate JWST observations may also be rejected by the STScI.
Regarding Joint ToO proposals, no more than one (1) disruptive JWST ToO of the joint program will be performed per JWST cycle (reaction time 14 days or less). Furthermore, Ultra-rapid JWST ToO requests (reaction time 2 days or less) will not be accepted for this program; proposals asking for Ultra-rapid JWST ToO observations are only available if JWST is the primary observatory, and must be submitted in response to the JWST Call for Proposals. It is mandatory that the PI informs both observatories immediately if the trigger criterion is fulfilled.
STScI will contact successful PIs of joint programs. US-based Investigators of ALMA-JWST Programs are eligible for JWST funding and will be eligible to submit budgets to JWST Grants.
JWST Technical Justification
Requested JWST observations will be held to the same technical standards as for all General Observer JWST proposals. In addition to the scientific justification, that must formally state why JWST observations are necessary to complete the science goals of the proposal, ALMA proposals requesting JWST time must provide the following Technical Justification:
-
A determination of the total duration of the proposed JWST observations, including overheads. This can only be determined using the JWST (STScI’s) Astronomer’s Proposal Tool (APT)..
-
Quantitative estimates of the accuracy required (e.g., exposure times or expected Root Mean Square (RMS) sensitivity) to achieve key science goals. The JWST Exposure Time Calculator (ETC) generally provides sufficient information to determine the necessary exposure time.
-
Selection of instruments, modes, filters, gratings and any additional constraints. Justification for the instrumentation must be included in the submitted science case.
-
Special Observational Requirements (if any): Justify any special scheduling requirements on timing or orientation, including time-critical and ToO observations.
-
Coordinated Parallels (if any): Justify any coordinated parallel observations (meaning using multiple JWST observing modes at the time, where one of the JWST modes is considered “prime”). It should be clearly indicated whether the JWST parallel observations (i.e., those that are “not prime”) are essential to the interpretation of the science program as a whole, or whether they address partly or completely unrelated issues.
-
Justification of Duplications (if any): as detailed in the JWST Duplicate Observations Policy, any duplicate observations must be explicitly justified.
-
ToO proposals (if any): ToO proposals should estimate the probability of occurrence during JWST Cycle 5, specify whether Carry-Over status is requested, must state explicitly whether the JWST observations require a disruptive ToO (observations within 14 days of notification), and state clearly how soon JWST must begin observing after the formal activation.
In addition to the Technical Justification provided in the ALMA Observing Tool, proposers must also prepare an APT file specifying their requested JWST observations and an “Extended JWST Scientific and Technical Justification for Joint Programs”. The APT file and associated technical information must be submitted via APT no later than four weeks after the ALMA proposal deadline has passed. This step is required for all submitted Joint Proposals requesting JWST observations. The APT file should contain a full description of the observations. The APT proposal file must have the same Title and Abstract as in the ALMA proposal, and the ALMA proposal ID must be included in the Abstract so it can be matched to the ALMA program. Proposers should make sure that they mark the APT cover sheet using the menu that expands out corresponding to “Coordinated telescopes”, providing all the requested information. The “Extended JWST Scientific and Technical Justification for Joint Programs” should be prepared as a Portable Document Format (PDF) file using the template and guidelines available in the JWST Documentation.
These files enable proposers to ensure the observations are feasible and to allow the observer to account for observatory and instrument overheads in their time request. The observations may also be visualized in Aladin to verify target coverage and any issues with bright stars or extended emission in the field of view. These files will also allow STScI staff to conduct a technical review that assesses the feasibility of the observations and their total duration.
3.5.2 ALMA proposals requesting VLA time
ALMA proposals may request standard VLA observations. During ALMA Cycle 13, available configurations at the VLA will be B, A and D. Proposers should familiarize themselves with the Guide to Proposing for the VLA and use the VLA Exposure Calculator when preparing their VLA Technical Justification. PIs requesting time on the VLA should notify NRAO within one week of the ALMA proposal deadline via the online form at: https://go.nrao.edu/external-proposal-form. PIs of accepted ALMA proposals with the VLA as a partner observatory should contact the VLA (schedsoc@nrao.edu) or open an NRAO helpdesk ticket (https://help.nrao.edu/) to request that their program is created.
VLA Technical Justification
ALMA proposals requesting VLA time must provide a Technical Justification, describing the experimental design of the program. This should include:
-
Justifying the requested array configuration(s) and justifying the required AR and Largest Angular Structure (LAS).
-
A description of the frequency selection. If the observations involve spectral lines, the rest frequency or sky frequency (for lines with significant redshift) should be provided.
-
A description of the time request (specifying both the on-source and total time, including overhead). If multiple array configurations are requested, the time request should be separated by configuration. The time request should be justified in terms of the required sensitivity and the appropriate observing bandwidth, describing how the sensitivity is necessary to achieve the science goals and if the resulting data will be limited by sensitivity or dynamic range.
-
A description of the choice of samplers and the correlator set-up(s) requested. For spectral line observations, also provide and justify details such as the channel widths and number of channels per sub-band. For pulsar binning observations, explain how the number of bins selected is sufficient to achieve the project’s goals; also verify that the frequency resolution is sufficient to avoid excessive dispersive smearing.
-
A description of the observing strategy. If the observations require mosaicking, the Technical Justification should describe the observing strategy (e.g., pointed, on-the-fly mapping) and the mosaic size. If sub-arrays are requested, the sub-arrays should be described (e.g., number of sub-arrays, numbers of antennas in each sub-array, observing setup for each sub-array).
3.5.3 ALMA proposals requesting VLT time
Joint Proposals requiring VLT time will comply with the ESO policies and Call for Proposals. Only Service Mode observations are offered2 for Joint Proposals.
During the preparation of the proposal, PIs should consult technical information provided on the instrument webpages and within the user manuals for the instruments,3 consider the Service Mode policies, and use the ESO ETCs to estimate the requested time and feasibility of their observations. The overheads webpage provides a summary table of all the overheads that must be included within the total requested time. A more detailed computation of the required execution time can be obtained by running the demo version of the web-based Phase 2 tool. PIs must provide a Technical Justification for the requested VLT observations. An incomplete Technical Justification may lead to the rejection of the proposal on technical grounds. The justification will be provided via text box in the ALMA OT and should describe the items listed below and the ETC version used for the calculations. VLT projects will be evaluated based on the technical feasibility of the requested observations, the scheduling feasibility, time and observing constraints.
Upon acceptance of a Joint Proposal by ALMA, PIs will be requested to submit the project with the ESO proposal submission tool. The users will later be contacted regarding submission of the Phase 2 Observing Blocks in preparation for observations and for a final detailed technical assessment. Projects that, during preparation of the Observing Blocks, result in a larger observing time than requested in the proposal VLT Technical Justification are subject to rejection on technical grounds at ESO’s discretion. Once the Observing Blocks have been prepared, projects will immediately enter the ESO observing queue, unless requesting observing capabilities only offered in the upcoming Period. In the latter case, the project will enter the queue at the corresponding Period start date. Approved joint projects will be allocated time in the A-rank class, and be subject to the same rules applying to regular programs allocated in this class (see the Section 6.4 of the ESO Call for Proposals).
VLT Technical Justification
The Technical Justification will be entered into a text box in the ALMA OT and should include a description of:
-
The number and type(s) of targets (stars, extended sources, etc.)
-
The apparent magnitudes of targets in appropriate/relevant filter bands
-
Instrument(s) and mode(s) requested
-
Constraints on the observing conditions including, lunar phase, sky transparency, and seeing, with justifications for the constraints (see the ESO Phase 2 Observing conditions: definitions page for additional information)
-
Any time critical aspects (e.g., monitoring or requirements for an absolute time window)
-
Justification for the total observing time request, including all overheads and a description of the parameters used in the ETC
-
Special calibration requests not covered by standard instrument calibration plans
3.6 Director’s Discretionary Time proposals
Director’s Discretionary Time (DDT) proposals may be submitted at any time. To qualify for DDT, proposals must fulfill the conditions specified on the Science Portal. Capabilities, time tolerance restrictions, and science assessment will be based on the same criteria as for Regular and ToO proposals, and DDT proposals must comply with the dual-anonymous review guidelines. DDT proposals will be considered for approval by the ALMA Director based on the advice of a Standing Review Committee, with members from the JAO and the three other regions, appointed by the Executive Directors and the ALMA Director. In exceptional cases, the ALMA Director may approve DDT proposals that would benefit from a very rapid response, and inform the Standing Review Committee and science operations team of this decision within 24 hours.
By default, approved DDT proposals submitted in Cycle 13 have no proprietary period. In exceptional circumstances, the ALMA Director may grant a proprietary period of up to 6 months if requested by the PI at the time of proposal submission. The request for a proprietary period must be submitted as a Helpdesk ticket within 24 hours of the submission of the DDT proposal. Further information on DDT policies is described in the ALMA Users’ Policies.
3.7 ESO Guaranteed Time Observations
In accordance with the ALMA Trilateral Agreement and the Principles of the ALMA Development Program, a portion of ESO’s share of ALMA observing time can be awarded as GTOs in exchange for contributions to the ALMA Development Program. The total number of GTO hours accepted by ALMA in any given cycle will not exceed 10% of the number of observable hours of the European regional share. In Cycle 13, up to 24 hours will be allocated to GTOs.
To make use of this time, GTO teams shall submit proposals to the main CfP. GTO teams cannot block targets or observing modes before a CfP. GTO proposals are subject to the same restrictions and requirements as non-GTO proposals, with only two exceptions:
-
GTO teams cannot apply for Joint Proposals or Large Programs.
-
GTO teams are allowed to take a maximum of 25% of their awarded GTO using ALMA capabilities that do not make use of their own development.
For the Cycle 13 CfP, GTO PIs must submit a Helpdesk ticket to the Project Planning department within 24 hours after the proposal submission deadline, listing the project code and informing ALMA that they wish their proposal to be designated for GTO. Submitted proposals must not identify themselves as GTO in the proposal text, nor include any information that could identify the proposal as GTO, in order to adhere to the dual anonymous policy. The PI of a GTO proposal must be from a European institution at the time of proposal submission.
GTO proposals are evaluated alongside proposals submitted to the main CfP following the procedures in the ALMA proposal review process (Section 5.7). Accepted GTO proposals will be assigned priority Grade A and delivered GTO data will be subject to the standard proprietary time policies. More details about the GTO proposal submission, evaluation, duplication handling, and execution are provided in Section 5.5 of the ALMA Users’ Policies.
4. Proposal planning
4.1 Time available in Cycle 13
Cycle 13 will span 12 months, starting in October 2026 and finishing in September 2027.
The JAO anticipates allocating 4300 hours on each of the 12-m, 7-m, and TP Arrays for successful PI programs, including DDT proposals as well as Cycle 12 Grade A proposals that are carried over. VLBI and DDT projects are limited to a maximum of 5% each of the available time (Sections 3.4 and 3.6). There is no overall cap on Large Programs, but they may not fill more than 33% of the time at a given LST for configurations C-9 and C-10 and no more than 50% of the time at a given LST for the remaining configurations (ACA and C-1 through C-8; see Section 3.3).
4.2 Summary of capabilities offered in Cycle 13
The Cycle 13 capabilities are described in Appendix A. In summary, they are:
Number of antennas:
-
At least forty-three antennas in the 12-m Array.
-
At least ten 7-m antennas (for short baselines) and three 12-m antennas (for single-dish maps) in the ACA.
Receiver bands:
-
All Receiver Bands 1 through 10 (wavelengths of about 7.0 to 0.35 mm) are now available.
-
Band 1 is available on the 12-m and 7-m Arrays only (no TP)
-
Band 2 is available on the 12-m Array only (no 7-m or TP)
-
Bands 3 through 8 are available on all arrays
-
Bands 9 and 10 are available on the 12-m and 7-m Arrays only (no TP)
12-m Array Configurations:
-
Cycle 13 includes 12-m Array configurations C-1 through C-10.
-
Maximum baselines between 0.16 km and 16.2 km depending on array configuration.4 Configurations with maximum baselines equal to or longer than 3.6 km (i.e., C-7 through C-10, as offered in Cycle 13) are considered “long-baseline configurations”. Observations in these configurations include more frequent calibration compared to more compact configurations to ensure the quality of the observations.
Spectral-line, continuum, and mosaic observations:
-
Spectral-line and continuum observations with the 12-m Array in Bands 1 through 10.
-
Spectral-line and continuum observations with the 7-m Array in Bands 1 and 3 through 10.
-
Single-field interferometry (Bands 1 through 10) and mosaics (Bands 1 through 9) with the 12-m Array.
-
Single-field interferometry (Bands 1 and 3 through 10) and mosaics (Bands 1 and 3 through 9) with the 7-m Array.
-
Single-dish spectral-line observations in Bands 3 through 8.
Polarization
-
Single-pointing, on-axis, full linear and circular polarization for both continuum and full spectral resolution observations in Bands 1 through 7 on the 12-m Array. The field of view of linear and circular polarization observations is limited to the inner one third and the inner one tenth of the primary beam, respectively. The minimum detectable degree of circular polarization is 1.8% of the peak flux for both continuum and full spectral resolution observations.
-
Mosaics for continuum linear polarization observations for the 12-m Array in Bands 1 and 3 through 7.
-
Single-pointing, on-axis linear polarization on the stand-alone 7-m Array in Bands 1 and 3 through 7. The field of view is limited to the inner one third of the primary beam.
Band-to-band calibration
-
Observations in Bands 7 through 10 for the ACA or any 12-m Array configuration may require Band- to-band (B2B) calibration in order to find a suitably nearby and sufficiently bright phase calibrator to ensure phase calibration quality. The ALMA OT will automatically check the availability of suitable phase calibrators during proposal validation and will automatically trigger the B2B mode where required.
-
B2B observations are subject to the availability of suitable calibrators as checked by the ALMA OT. Some science targets, particularly at the highest frequencies (Bands 9 and 10) and longest baselines (C-8 through C-10 in Cycle 13), where the constraints are most strict, may not be observable even with B2B. The ALMA OT will indicate an error if a source does not have a suitable calibrator. PIs are advised to begin preparing their high-frequency proposals early to ensure that a suitable calibrator is available for their targets. See Appendix A.9.6 for further information. For technical details see Section 10.5.5 of the Technical Handbook.
4.3 Scheduling considerations
Apart from time-constrained observations, various aspects of a proposed observation such as weather conditions or requested AR and LAS may affect when an observation is scheduled. This section describes the most important scheduling considerations that investigators should be aware of when preparing their ALMA proposal.
4.3.1 Weather
Chajnantor is one of the best sites in the world for ground-based observations at submillimeter wavelengths (Evans et al. 2003, ALMA Memo No. 471 and Maud et al. 2023, ALMA Memo No. 624; available from the ALMA Memo Series). The atmospheric transmission (mainly set by the Precipitable Water Vapor (PWV)) and the phase stability of the atmosphere are the two primary factors that dictate when ALMA can observe at certain frequencies, particularly in the higher-frequency bands and at frequencies near atmospheric water absorption lines. Both transmission and phase stability follow a yearly cycle (late southern winter is best – see Figures 2 and 4 of Memo 471) and a diurnal cycle (late night and early morning are best – see Figures 3 and 5 of Memo 471); also see the “Precipitable Water Vapour” and “Phase RMS” sections of Memo 624. In addition to the transmission and phase stability criteria, the low wind speeds that typically occur during night and early morning provide optimum observing conditions.
Figure 2: Fraction of time that the PWV falls below a given value along the year. The percentages shown indicate the fraction of time that the PWV is under the PWV value indicated on the y-axis. For example, in March 75% of the PWV measurements are under 3.8 mm, and in June 75% of the PWV measurements fall below 2.3 mm. The data were obtained with the ALMA Pathfinder EXperiment (APEX) weather station, ALMA measurements, and weather forecast data between January 2010 and January 2022. The horizontal dashed lines show the PWV observing limits adopted for the ALMA bands for an elevation of 60 degrees.
Figure 2 shows the PWV measurements per month, illustrating the yearly cycle. Based solely on transmission, the best months for high-frequency observations are from May to November, while from December through March, low-PWV conditions occur rarely ( < 10% of the time).
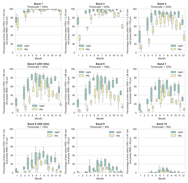
Figure 3 shows the percentage of time when both the PWV meets the observing thresholds adopted for each ALMA band and the phase RMS is lower than the ideal value of 30 degrees. The time percentage is shown per month and separately for afternoon and night to highlight the daily and monthly variations. The results are derived from more than 15,000 ALMA science observations in Cycles 3 through 7 (see ALMA Memo 624). Phase RMS values are expressed as a path length in microns after Water Vapor Radiometer (WVR) correction and correspond to < 30 degrees for the timescale (which can be understood as a proxy for the phase calibrator cycle time) given in the subplot titles. The phase calibrator cycle time is the interval from the start of the phase calibrator scan, through the science target scan, to the end of the telescope slew back to the phase calibrator.
Shorter cycle times are adopted for higher frequency bands to compensate for their higher phase stability requirements, enabling 10–20% nighttime availability for the highest bands during the winter months. Cycle times are also adjusted for different array configurations to balance efficiency and atmospheric performance. For more compact configurations, slightly longer cycle times are typically sufficient to achieve required phase stability without changing the overall availability trends. For the most extended configurations (C-7 through C-10), cycle times are shortened to partially offset the increased phase variations for longer baselines; the net result is that the available time for long baseline configurations is lower relative to the 1 km baseline case shown in Figure 3 by approximately 10-15% for Band 7, 10% for Bands 8 and 9, and 5% at Band 10. Long baseline Band 10 observations are possible only during winter months.
During parts of the year, such as the Altiplanic winter5 season (December–March), it may be difficult to carry out submillimeter observations. For this reason, an extended maintenance and upgrade period is scheduled each February, during which no science observations are scheduled.
Figure 3: Time available for observing as limited by both PWV and phase RMS, separated by month and by day/night. The boxes show the percentage of time that atmospheric conditions satisfy the PWV and phase-stability requirements for each ALMA band, assuming a fiducial 1 km maximum baseline and a timescale equivalent to the phase calibrator cycle time that is appropriate for that band. Phase RMS values are given as path-length variations in microns after WVR correction and correspond to < 30 degrees. A phase RMS of < 30 degrees can be considered as very good to ideal conditions. Band 2 is not shown but Band 3 time can be used as a close proxy. For Band 5, the frequency range is split; 203 GHz as shown is appropriate for the majority of Band 5, whereas over the 183 GHz atmospheric line the PWV requirement is more strict (not shown). For Band 8, the availability is evaluated at 492 GHz as a conservative case. “Day” is defined as 07:00–19:00 local Chilean time and “Night” as 19:00–07:00. Data are based on more than 15,000 ALMA science observations since Cycle 3 (Maud et al. 2023, ALMA Memo 624).
The JAO will schedule the observations during appropriate weather conditions to ensure good data quality. In particular, high-frequency projects will be prioritized when weather conditions are appropriate for them.
4.3.2 Angular resolution
PIs can enter a range of acceptable ARs values for a given SG in the ALMA OT (see Section 4.5 for more on SGs). Users requesting a single AR should enter the same value for the minimum and maximum. Whenever feasible, PIs are encouraged to enter a range spanning more than one configuration. Such a choice may improve chances of having the SB observed, especially for SBs with an intrinsically low probability of execution (e.g., due to weather or time constraints).
In practice, the ALMA OT will assign to a given SB any number of configurations that fulfill the AR range requested by the PI. For scheduling feasibility and Quality Assurance (QA) purposes, the following will also be considered:
-
If the PI inputs a single value for the AR or a range narrower than 20% around its center value, a range of ±20% around the specified single or center value will be enforced.
-
If the requested range (after applying the previous rule) does not include the resolution of at least one of the configurations, the OT will raise a validation error. The PI should further enlarge the requested resolution range to overlap with one or more configurations while maintaining compliance with the science goals.
-
If the requested range includes both long-baseline and more compact configurations, only the latter will be considered. An exception to this rule are ToO observations that can be triggered in any configuration if the AR requested by the PI is “any” (see Section 3.2).
The expected configurations and their associated beam sizes can be viewed via the “Planning and Time Estimate” tab in the ALMA OT “Control and Performance” panel. The final range of ARs (i.e., after all the above factors have been considered) and the associated configurations will be made available for PIs to review after the creation of Phase 2 SBs. Users should note that the synthesized beam shape can be elongated, in particular for sources at high or very low declinations (see Section 7.4 of the Technical Handbook for details). Observations away from transit will result in a higher axial ratio than that shown.
PIs aiming to obtain a specific surface brightness sensitivity may enter their request in temperature units. In this case, if a range of acceptable resolutions is specified by the PI, the time estimate will be determined by the time needed to achieve the surface brightness sensitivity requested at the resolution of the most extended configuration fitting the provided range (i.e., highest resolution). ALMA QA processes are defined in terms of resolution and flux density sensitivity, so the actual surface brightness sensitivity delivered will depend on the resolution achieved by the observations (see Chapter 11 of the Technical Handbook). Thus, a temperature sensitivity worse than requested could be obtained if the resolution achieved in the delivered images is still within the requested range but higher than that of the most extended configuration assigned to that SB.
4.3.3 Configuration schedule for the 12-m Array
The ALMA 12-m Array will be configured in 10 different configurations during Cycle 13. While each configuration contains fifty 12-m antennas, only a subset of these antennas will be available for most observations due to maintenance activities, calibration observations, and testing new capabilities. These operational factors impact the actual configuration achieved for a given observation. For that reason, the OT considers the full range of 43 to 50-antenna configurations and beam-elongation for non-transit observations in order to calculate the time estimates and image characteristics based on these configurations. Configurations are denoted as C-X, with X=1 for the most compact configuration and X=10 for the most extended (see Appendix A.2 and Chapter 7 of the Technical Handbook for details). The planned 12-m Array configuration schedule for Cycle 13 is given in Table 3. This schedule may be modified depending on the results of the proposal review process and the proposal pressure in the different configurations. Changes to the configuration schedule will be announced on the Science Portal. On average, configurations change once every three weeks. Observations are not scheduled in February because of poor weather conditions during the Altiplanic winter. In exceptional circumstance, observations may be restarted before March 1st, depending on both weather conditions and array maintenance status.
| Start date | Configuration | Longest baseline | LST for best observing conditions |
|---|---|---|---|
| 2026 October 1 | C-3 | 0.50 km | ∼ 22—10 h |
| 2026 October 20 | C-2 | 0.31 km | ∼ 23—11 h |
| 2026 November 10 | C-1 | 0.16 km | ∼ 1—13 h |
| 2026 November 30 | C-2 | 0.31 km | ∼ 2—14 h |
| 2026 December 20 | C-3 | 0.50 km | ∼ 4—15 h |
| 2027 January 10 | C-4 | 0.78 km | ∼ 5—17 h |
| 2027 February 1 | No observations due to maintenance | ||
| 2027 March 1 | C-4 | 0.78 km | ∼ 8—21 h |
| 2027 March 20 | C-5 | 1.4 km | ∼ 9—23 h |
| 2027 April 20 | C-6 | 2.5 km | ∼ 11—1 h |
| 2027 May 20 | C-7 | 3.6 km | ∼ 13—3 h |
| 2027 June 20 | C-8 | 8.5 km | ∼ 14—5 h |
| 2027 July 11 | C-9 | 13.9 km | ∼ 16—6 h |
| 2027 July 30 | C-10 | 16.2 km | ∼ 17—7 h |
| 2027 August 20 | C-9 | 13.9 km | ∼ 19—8 h |
| 2027 September 10 | C-8 | 8.5 km | ∼ 20—9 h |
Table 3: Planned 12-m Array Configuration Schedule for Cycle 13. Configuration properties are given in Appendix A.2.
The first column of Table 3 gives the planned start date for each configuration. These dates are subject to change because of weather conditions, technical circumstances, and the outcomes of the proposal review process and the proposal pressure in the different configurations. The second column gives the 12-m Array configuration, and the third column lists the longest baseline for the configuration (see Table A-1 for corresponding ARs and Table A-2 for MRSs). The fourth column lists the LST ranges when the observing conditions are most stable, approximately two hours after sunset to four hours after sunrise (Section 4.3.1). The effective observing time available per configuration for executing PI projects (excluding time spent on observatory calibration, maintenance, reconfigurations, and other activities – see Section 4.3) is shown in Figure 4.
Given the anticipated configuration schedule and weather constraints, the following considerations apply:
-
The amount of time with stable atmospheric conditions suitable for observations in Bands 7 through 10 outside of the LST ranges given in the fourth column of Table 3 is limited (see Figures 2 and 3). To maximize the completion of high-frequency observations, such projects are given priority in the observing queue when the weather conditions are suitable (Section 4.3.1).
-
High-frequency projects (Bands 7 through 10) and Band 5 observations near the atmospheric absorption feature at 183 GHz are not recommended during the Altiplanic winter (December to March) at any LST.
-
The probability of an observation being scheduled depends on the over-subscription for the given LST and configuration in addition to the required weather conditions.
-
Projects that have imaging requirements (constraining the necessary configuration) and other time constraints (e.g., due to coordination with other observatories) that do not coincide cannot be scheduled.
Figure 4: Estimated observing time available per configuration for executing PI projects, based on precipitable water vapor (PWV) and Phase RMS constraints. For example, approximately 24 hours are expected to be available in C-4 at LST 05 h for all observations and up to 12 of those hours may be allocated to Large Programs. The time available for Large Programs is shown in pink and time for high-frequency observations in green and dark blue. The configuration schedule and, consequently, the total number of hours available per configuration may change in response to proposal pressure (Section 4.3.3). The data files containing these histograms are available here.
4.3.4 Observing pressure
Figure 5 shows the LST distribution of Cycle 11 submitted proposals (the most recent cycle with a configuration schedule similar to Cycle 13) and of those awarded grades A, B, or C by configuration and array type. While some LST ranges such as 02–06 h or 12–19 h show over-subscription in several configurations, the degree of over-subscription differs significantly for different configurations. In general, proposals have a higher probability of acceptance if they request time in less subscribed LST ranges.
The range of ARs provided by PIs (Section 4.3.2) will have a direct impact on the observing pressure per configuration. Proposals that specify a broad range of acceptable ARs (i.e., several acceptable configurations) increase their likelihood of being scheduled and executed. However, PIs should only request the range of ARs that is acceptable for their science goals, as this choice will be evaluated during the proposal review process.
Figure 5: Distribution of estimated execution time in Cycle 11 for all submitted proposals (gray) and proposals assigned Grade A, B, or C (blue). The figure does not include the unfinished Cycle 10 Grade A proposals carried over to Cycle 11. Cycle 11 was the most recent cycle with the same configuration offering as for Cycle 13.
4.4 Duplicate observations and resubmissions
4.4.1 Checking for duplications
Duplicate observations of the same location on the sky with similar observing parameters (frequency, AR, coverage, and sensitivity) are not permitted unless scientifically justified. Detailed criteria of what constitutes a duplicated observation are specified in Appendix A of the ALMA Users’ Policies.
PIs are responsible for checking their proposed observations against the Archive and the list of Grade A projects in the observing queue provided on the Science Portal to avoid duplicate observations. PIs proposing duplications of previous cycle observations will not have their proposals marked as duplications if they had no way to know about the previous cycle observations, using the resources listed above, by the release of the Call for Proposals. Information on checking for duplications is available on the Duplicate Observations page on the Science Portal.
The proposal cover sheet contains a section where PIs can justify observations known to be duplicates. PIs may wish to justify their proposed observations in cases where they are similar to previously executed or accepted programs but are not formal duplicates. This will help the reviewers understand why new observations are requested.
Examples of duplicate observations that may be approved include:
-
Observations of time-variable phenomena.
-
A large-area survey where cutting out a smaller area to avoid overlap with a previous observation will make the observation inefficient and increase the overall execution time.
-
Spectral scan surveys where excluding a frequency range covered by a previous observation will make the observation inefficient and increase the overall execution time.
4.4.2 Resubmission of an unfinished project
Proposal teams that submit a Cycle 13 proposal to observe some or all the SGs of an unfinished project will have the relevant SGs identified as a “resubmission”. An SG is deemed a resubmission if it constitutes a duplication of an existing SG following the rules specified in Appendix A of the ALMA Users’ Policies and the PI of the relevant project from any previous cycle is listed as a PI, Co-I, or Co-PI of the corresponding Cycle 13 proposal or the Cycle 13 PI is listed as an investigator on the relevant proposal from any previous cycle. For such resubmissions, the relevant portion of the Cycle 13 proposal will be canceled if the observations are successfully completed in Cycle 12. Observations started in a previous cycle and accepted as a resubmission in Cycle 13 will continue to be observed with the setup of the previous cycle.
A Scientific Justification must be provided if the proposers request one or more additional epochs of observations in Cycle 13 even if the Cycle 12 observations are completed.
4.5 Estimated observing time
Proposal requests are cast in terms of SGs, each containing a complete observational setup (desired sensitivity, range of ARs and LAS, frequency band, spectral windows, and spectral resolutions) to be applied for one or more targets. The OT Video Tutorials and the OT User Manual provide extensive details and guidance for preparing the SGs. Users who wish to understand how ALMA observations are set up may refer to Chapter 8 of the Technical Handbook.
The observational setup of a given SG is used to estimate a total observing time for that SG (except for solar or VLBI observations or when overridden by the PI, see Appendix B). This observing time is the sum of the required time on source for all science targets, time for all calibrations including overheads, and the time for any additional array configurations needed to meet the specified LAS. The estimated observing time for the proposal is the sum of the times for all SGs. The actual observing time to reach a given sensitivity, resolution, and LAS will depend on the prevailing conditions when the project is observed, the number of antennas available, and the actual array configuration.
The estimated time on source is calculated with the ALMA Sensitivity Calculator (ASC), available as a stand-alone web application on the Science Portal. The parameters that affect these time estimates include requested sensitivity, source declination, observing frequency, spectral bandwidth, number of antennas, AR (if the sensitivity is specified in temperature units; see Section 4.3.2), and default weather conditions. A description of the ALMA Sensitivity Calculator is given in Chapter 9 of the Technical Handbook.
The estimated time for calibrations and overheads is calculated by the ALMA OT and will depend on the frequency, configuration, and type of observation (e.g., full polarization observations require additional calibrations). Proposals requesting the suppression of some or all calibrations in one or more SGs may be deemed technically infeasible if the request is not properly justified in the proposal (see Appendix B.4 for details).
For each SG, one or more SBs are generated during Phase 2 depending on the distribution of sources in the sky and the number of configurations needed (Appendix A.8.1 and A.4, respectively). Each SB contains all the commands needed to perform the observations and a complete set of calibrations. The minimum duration of the SB is constrained by a minimum time on source of 5 minutes for the sum of all the sources in the SB or 50% of the total calibration time (see Section 5.3.5.3 of the OT User Manual). For SGs that require a combination of arrays but have short time on source that is increased to the 5-minute minimum by the ALMA OT, the time multipliers given in Table A-3 may not be preserved (see Appendix A.4). The maximum duration of a SB is around 2 hours (determined by a maximum time on source of 50 minutes) and each SB will be re-run as many times as needed to achieve the requested Signal-to-noise (S/N) ratio. If uv-coverage is fundamental for the scientific goals of a proposal and such coverage would not likely be obtained in the time required to reach the desired sensitivity, PIs may need to override the ALMA OT time estimate. In such situations, PIs are encouraged to contact their ARC via the ALMA Helpdesk during proposal preparation to discuss the best strategy for achieving the necessary uv-coverage (see Appendix B.2 for details). Data from each SB will be processed, assessed, and delivered independently.
The final factor in the time estimate is the possible addition of configurations needed to reach the LAS specified by the user. The LAS is compared to the “MRS” of the configurations that best match the requested range of ARs. The MRS for each configuration is listed in Table A-2. If the LAS exceeds the MRS of all matching configurations, then additional configurations, if allowed (Section 7.4), are added with a time estimated using the multipliers given in Table A-3. If the array combinations are not allowed (Appendix A.4), the ALMA OT will give a validation error. If the LAS can be achieved with one or more of the best-matching configurations, the remaining configurations meeting the AR but not the LAS request will not be considered.
The PI may include additional SGs for array combinations not allowed in a single SG, but each SG must be separately justified and have its own performance specifications (sensitivity, range of ARs, and LAS).
Two types of correlator modes for the 12-m and 7-m Arrays are offered in Dual Polarization: 2x2 bit and 4x4 bit. The latter provides a significant increase in correlator efficiency, that translates to an increase of 12% in sensitivity (at fixed spectral resolution and integration time), or a corresponding reduction of the needed time to achieve a desired RMS by 25% (at a fixed spectral resolution). See Appendix A.6.1 for a discussion of the tradeoffs between 2x2 and 4x4 bit modes. The ALMA OT time estimates take into consideration whether the “Representative” spectral window is set to 2x2 or 4x4 bit mode. Data taken in these 4x4 modes can be combined with data taken with the TP Array at the corresponding spectral resolution mode.
Observations that require only the ACA are selected by checking a specific box in the ALMA OT interface. In case of simultaneous observations in the 12-m and 7-m Arrays, the estimated time for the 7-m Array will be set equal to that of the 12-m Array.
Snapshots with the 7-m Array are strongly discouraged for imaging. For single pointings, integrations of at least one hour are necessary for sufficient uv-coverage to achieve good image quality. Ensuring sufficient uv-coverage for mosaics with the 7-m Array can be problematic because the integration time is spread out over many pointings. For this case, simulations that assume the minimum number of guaranteed antennas are strongly encouraged to help set the per-pointing integration time. See Chapter 7 of the Technical Handbook for more information on imaging with ALMA.
Time estimates for each SG are available in the ALMA OT by clicking on the “Planning and Time Estimate” tab in the “Control and Performance” panel. A summary of the time estimate of each SG can be viewed by clicking the “Time Summary” tab on the “Science Plan” panel. The times for the 12-m Array, 7-m Array, and TP Array are tabulated separately on the proposal cover sheet.
4.6 Supporting tools and documentation
4.6.1 The Observing Tool documentation
The ALMA OT, a web-based application, is used to prepare and submit observing proposals (Phase 1). ALMA staff will use the Java-based ALMA OT to prepare the observations for execution on the telescope (Phase 2) if the proposal is accepted. The ALMA OT includes a number of checks to ensure submitted proposals conform to the Cycle 13 capabilities. The ALMA OT supports the following web browsers: Chrome, Safari, and Firefox.
The ALMA OT documentation suite, which provides all the basic information required to complete the proposal preparation and submission, includes:
-
The OT Video Tutorials: A visual demonstration of proposal preparation and submission with the ALMA OT.
-
The OT User Manual: A manual intended for all ALMA users, from novices to experienced users. It provides comprehensive information on creating valid Phase 1 proposals for observing astronomical objects.
-
The OT Reference Manual: A manual providing a concise explanation for all the fields and menu items in the ALMA OT. It is also included as part of the “Help” documentation within the ALMA OT itself.
-
The known ALMA OT issues page: A list of known bugs, their status, and possible workarounds. This page may be updated during the proposal submission period and should be checked first if problems are experienced with the ALMA OT.
4.6.2 Additional proposal preparation tools
Two tools are available to help users produce simulated images of ALMA observations of simple or user-provided science targets. The first simulation tool is integrated into CASA, the offline data reduction and analysis tool for ALMA data. CASA includes the tasks “simobserve” and “simanalyze”, which generate simulated visibility data and make images from these simulated data sets. An additional CASA task, “simalma”, simplifies the process for ALMA data by combining data from multiple arrays, including the TP Array, if needed. These CASA tasks require configuration files that specify the layout of ALMA antennas. To simulate observations for Cycle 13, investigators can use the Cycle 13 configuration files available on the Science Portal. The CASA simulation tasks are described in the CASA documentation and detailed examples can be found in the CASA guides. Additional information on CASA, including hardware requirements and download instructions, is available at the CASA website.
The second simulation tool is the ALMA Observation Support Tool (OST). The OST uses a simplified web interface to help users generate simulated ALMA observations. Users submit jobs to the OST and are notified by email when the simulations are completed. The OST documentation is available at the OST website.
A guide for simulating ALMA observations with either tool is available at the CASA guides website.
Splatalogue is a database containing frequencies of atomic and molecular transitions emitting in the radio through submillimeter wavelength range. This database is used by the ALMA OT for spectral-line selection. More information is available in the Splatalogue Frequently Asked Questions.
4.6.3 The ALMA Regional Center guides
The ARC Guides contain user support details specific to each ALMA regional partner. They are:
4.6.4 Supplemental documentation
The documents described below supplement this Proposer’s Guide for the preparation of Cycle 13 proposals, for either the novice or advanced users. All documents can be accessed via the ALMA Science Portal.
The Proposing Guidance page from the Science Portal summarizes the steps involved in the preparation and submission of an ALMA observing proposal. It is designed to help users find the relevant documents and sources of additional information in each step of creating a proposal.
Observing with ALMA: A Primer is a brief introduction to ALMA observing, submillimeter terminology, and interferometric techniques that should prove useful for those new to radio astronomy. Several example science projects are described.
The NAASC video series, the European ARC network’s Interactive Training in Reduction and Analysis of INterferometric data and the ALMA Explained series have video tutorials on a wide range of topics related to interferometry and ALMA data analysis and archival queries.
The ALMA Users’ Policies document contains a complete description of the applicable users’ policies. The long-term core policies for usage of ALMA and of ALMA data by the user community are presented.
The ALMA Cycle 13 Technical Handbook describes the technical details of ALMA during Cycle 13, including but not limited to receiver characteristics, array configurations, available observing modes, correlator setups, and the basis of the ALMA OT time estimates.
The ALMA Memo Series and ALMA Technical Notes Series include technical reports on various aspects of ALMA project development and construction and from the extension and optimization of capabilities.
The ALMA Proposal Review pages on the Science Portal provide key information about the proposal review process. When preparing a proposal, proposers should pay special attention to the Dual-Anonymous Review Guidelines, that describe how to write a proposal in a dual-anonymous fashion. These pages also include an overview of the Distributed Peer Review process and the Guidelines for Reviewers.
4.7 The ALMA Helpdesk
The ALMA Helpdesk can be accessed from the Science Portal or directly at http://help.almascience.org. Submitted tickets are directed to the user’s ARC, where support staff are available to answer any question related to ALMA, including but not limited to ALMA policies, capabilities, documentation, proposal preparation, the ALMA OT, Splatalogue, and CASA. Users may also request information on workshops, tutorials, or about visiting an ARC or ARC node for assistance with data reduction and analysis. Users must be registered at the Science Portal to submit an ALMA Helpdesk ticket. Replies to an already existing ticket can be sent by the user by logging into the Science Portal or via email (see “Can I respond to my helpdesk ticket through my email?” for more details). ALMA staff aim to answer Helpdesk tickets within two working days.
The ALMA Helpdesk opens an Emergency Proposal Submission department 72 hours before the ALMA deadline. It will appear in the department selection dropdown of the “Submit Helpdesk Ticket” page. The three ARCs share responsibility for the tickets submitted to this department, to provide answers as quickly as possible. This department is only to be used to address problems that block the submission of proposals; if the ticket does not match this condition, it will be moved out of the emergency department and answered by the staff from the corresponding ARC.
ALMA staff will create a project ticket in the ALMA Helpdesk for each accepted proposal. Investigators can use this ticket for questions and communication on their project throughout its lifetime. Finally, investigators can also trigger ToO observations using the ALMA Helpdesk (see Section 3.2).
The “Knowledgebase” of the ALMA Helpdesk is a database of answered questions and articles on all aspects of ALMA. Users can search the Knowledgebase to find answers to common queries. Knowledgebase articles that match their query are automatically suggested to users as they type. The Knowledgebase query interface also searches all the documentation available on the Science Portal and provides a direct link to the documentation that may answer a user’s question.
5. Proposal preparation, submission, and review
This section contains guidelines regarding proposal format and preparing the Scientific Justification and Technical Justification (TJ). The setup of SGs is only briefly explained here. Users are referred to the extensive suite of ALMA OT documentation for details (Section 4.6.1). ALMA novices are encouraged to start with the ALMA OT video tutorials.
5.1 Proposal format
An ALMA proposal consists of basic proposal information that is entered directly into the ALMA OT (Section 4.6.1). Proposal information includes a Science Justification uploaded to the ALMA OT as a PDF file, and one or more SGs. SGs contain the technical details of the proposed observations and must include a TJ.
After entering the basic proposal information and completing the SGs in the ALMA OT, the PI can generate the PDF of the complete proposal, including the Scientific Justification, SGs, and TJs that will be distributed to the reviewers for evaluation. The first page of the PDF (the “cover sheet”) includes the title and abstract together with a summary of the SGs. ALMA implements a dual-anonymous proposal review (Section 5.2) so the names of investigators are not listed on the cover sheet or elsewhere in the PDF seen by the reviewers.
5.2 Dual-Anonymous proposal review
To ensure that the proposal review process is as fair and unbiased as possible, proposals at ALMA are reviewed under a dual-anonymous system. In a dual-anonymous review, the proposal team does not know the identity of the reviewers and the reviewers do not know the identity of the proposal team. While proposers will still enter their names and affiliations in the ALMA OT, this information will not appear on the proposal cover sheet, or in the tools used by the reviewers. It is the responsibility of the proposers to ensure anonymity is preserved when writing their proposals. Proposers are recommended to review the PDF file of their complete proposal (generated using the ALMA OT) to ensure that anonymity is preserved throughout the whole document. Proposals that do not follow the dual-anonymous guidelines may be subject to disqualification. Details and specific guidelines on how to write your proposal following the dual-anonymous requirements are provided in the Guidelines for Dual-Anonymous Proposals on the Science Portal. All proposers are encouraged to use the ALMA Helpdesk for any questions relating to dual-anonymous review.
5.3 Preparing the Scientific Justification
ALMA Cycle 13 proposals must include a single PDF document that includes a science case written in English. The document may include figures, tables, and references. The maximum permitted file size is 20 MB.
5.3.1 Page limits, formatting, and fonts
The formatting requirements for ALMA proposals are presented below. Proposals that do not follow these requirements may be disqualified. Users are encouraged to prepare their Scientific Justifications using the LaTeX template available on the Science Portal.
Page layout and font sizes:
-
Page format: A4 or US Letter.
-
Text area: No larger than 247 mm by 180 mm.
-
For A4 paper this corresponds to top/bottom margins of 25 mm and left/right margins of 15 mm.
-
For US letter paper this corresponds to top/bottom margins of 16 mm (0.62 inches) and left/right margins of 18 mm (0.71 inches).
-
-
Font size: Minimum 12 points, including the main text, figure captions, tables, and references.
-
Line spacing: single line spacing (14.4 points) for all content.
Page limits:
-
Regular, ToO, VLBI, Phased Array, and DDT proposals
-
4 pages maximum.
-
The recommended breakdown is two pages for the science case and two pages for figures, tables, and references, but proposers are free to adjust these numbers within the overall page limit.
-
-
Large Programs
The ALMA OT will check the font size of the PDF and issue an error during proposal validation if more than 15% of the text is smaller than 12 points. To submit the proposal, any problems with small fonts must first be fixed. Note that the ALMA OT may issue errors by detecting “hidden text” when figures are cropped from other PDFs. See the Knowledgebase article on font size problems for further details. Even if the OT accepts the PDF it is the responsibility of the PI to ensure the entire Scientific Justification fully complies with the font size and other formatting requirements.
Figures and tables may be embedded within the science case so that they appear close to the location where they are referenced in the text. PIs should ensure that the text in all figures is clear and legible. Although the TJ for each SG is entered in the ALMA OT, any figure required for it needs to be placed in the Scientific Justification PDF document. Users are encouraged to prepare their Scientific Justifications using the LaTeX template available on the Science Portal. The use of section headings is optional.
Proposals must be self-contained. Reference can be made to published papers (including arXiv.org preprints) as per standard practice in the scientific literature and they must be listed at the end of the science case. Consultation of those references should not, however, be required for understanding the proposal. References may be hyperlinked, but proposals cannot contain links to additional figures, tables, text, or other online material in support of the science case.
5.3.2 Science case
Each proposal must describe the scientific importance of the proposed project and include a clear statement of its immediate observing goals, including the suitability of the observations to achieve the scientific goals (see Section 5.7.2 and Guidelines for Reviewers). It is also recommended to provide a brief justification of the requested sensitivity and AR, with full details provided in the TJ (Section 5.4).
Proposers can simulate ALMA observations using different array components and configurations (see Section 4.6.2). Simulations are not required. However, if they are discussed in a proposal to justify any technical aspects of an observation, their results (i.e., images and simulation details) should be included in the Scientific Justification and referenced in the relevant TJ.
Proposal reviewers are selected with expertise that covers the various topics within a proposal category. Therefore, the Scientific Justification should be written for a knowledgeable but broad-based audience.
Large Programs
In addition to the information described above, the Scientific Justification for Large Programs should also include the following information:
-
An assessment of the scheduling feasibility. Large Programs should be designed to be completed within one cycle given the configuration schedule and weather constraints, and the program must satisfy the configuration/LST restrictions applicable to Large Programs as described in Section 5.5.1.
-
A Management Plan for the project. The Management Plan includes a description of organization of the team, the data reduction plan and available computing resources, the data products to be delivered by the team, and a publication plan. Large Programs that do not include a complete management plan may be disqualified without undergoing review. See Section 5.5.2 for a more detailed description of what information is required.
5.3.3 Figures, tables, and references
Figures, tables, and references that support the science case and the TJ may be included. Figure captions, tables and references must use a font size no smaller than 12-points and, together with the science case, must fit within the overall page length limit and 20 MB size limit of the PDF proposal. PIs should ensure that text in figures is legible.
5.4 Preparing the Technical Justification
Each SG within a proposal must contain a TJ, which is entered directly into the ALMA OT in the TJ panel of each SG. Any figures associated with the TJ must be included in the Scientific Justification PDF file and clearly referenced in the TJ. The TJ must include a quantitative description and justification of the expected source brightness, the requested sensitivity and S/N ratio, AR, maximum recoverable scale, and spectral setup. An incomplete TJ may lead to the rejection of the proposal on technical grounds. The TJ must abide by the guidelines of dual-anonymous review.
Each SG has its own TJ because the technical setup of the observations will often vary substantially from one SG to the next. If a TJ is applicable to more than one SG, the TJ node can be easily copied and pasted (or dragged and dropped) between SGs. The TJ node contains three sections – sensitivity, imaging, and correlator configuration – corresponding to the main aspects that need to be assessed for the technical feasibility of any proposal. Each section includes at least one free-format text box that must be filled in (50 characters minimum), as well as a number of parameters computed from the user input captured in that Science Goal. This information is designed to help with the writing of the TJ, and will also highlight potentially problematic setups (in blue text) if applicable. Please see the relevant sections in the OT Reference Manual (accessible by clicking the “?” symbols within the ALMA OT) for details. If the ALMA OT detects any technical choices that require an extra justification (e.g., time-constraints), appropriately labeled text boxes will appear in an additional “Choices to be justified” section.
Given that the information and the text boxes displayed in the TJ node are dependent on information provided elsewhere in the SG (including the Expected Source Properties entered in the Field Setup node), the Science Goal should be completed before filling in the TJ. Specific guidelines on filling out the TJ are given in Appendix B.
If a proposal does not conform to the advertised capabilities, it can be declared technically infeasible either during the proposal review process or during Phase 2 (Section 6.1). The final decision will be made by the Head of Science Operations at the JAO.
5.5 Proposal components specific to Large Programs
5.5.1 Scheduling Feasibility
Large Programs should be designed to be completed within one cycle given the configuration schedule and weather constraints. Proposers should carefully consider the following aspects for the scheduling feasibility:
-
Time allocation: Large Programs may fill up to 33% of the available time in the 12-m Array configurations C-9 and C-10 and up to 50% of the time in the remaining Cycle 13 configurations (i.e., the ACA and C-1 through C-8, at a given LST). Figure 4 provides an overview of the hours allocated for PI science observations and Large Programs across the different array configurations. Additionally, the caption of Figure 4 includes a link to download the histograms in text format for further analysis.
-
Time per receiver band: The requested observing time for each receiver band must be consistent with the available time offered in Cycle 13. Figures 3 and 4 show the fraction of time that is expected to be suitable for observations in a given receiver band in a given month of the year and time of day. Proposers can use this information to evaluate scheduling feasibility of their program.
The scheduling feasibility must be discussed in the Scientific Justification. PIs must confirm that the proposal is consistent with the configuration/LST scheduling constraints for Large Programs by checking the “Scheduling Feasibility” box in the ALMA OT. Any special scheduling constraints should be noted in the Scientific Justification. Proposals that do not obey the scheduling constraints may be rejected on technical grounds. We encourage proposers to review the Knowledgebase article “Are there policies specific to Large Programs?”, that provides additional details on scheduling feasibility and includes an example on how to evaluate the scheduling feasibility of a Large Program.
5.5.2 Management Plan
In addition to the science case, all Large Programs must include a Management Plan. This section should be properly anonymized and included within the Scientific Justification. The Management Plan should be at least one page long and demonstrate that the proposal team has the personnel and computing resources available to complete the project successfully in a timely fashion. It should include:
-
Organization of the team. Describe the overall organization of the proposing team, including the size and structure of the team, including any subteams (e.g, calibration, imaging, etc.).
-
Data reduction plan and computing resources. Provide a description of:
-
The anticipated timeline to process the data and any data processing steps that will be needed beyond the normal ALMA Data Reduction Pipeline.
-
The size of the raw data and processed data products that will be produced by the project. The ALMA OT reports estimated data rates and overall data volumes that can be used as a guide to estimate the volume of raw data that would be delivered. It is not uncommon for the final data volume to double after full calibration and the generation of imaging products.
-
Computing resources (e.g., disk space, processing capacity) available to the team to demonstrate they have sufficient resources to process the data.
-
-
Data products. Provide a description of:
-
The data products (including any non-ALMA data and models) that will be delivered by the project for ingestion into the ALMA Archive.
-
The timeline for delivery of the data products to ALMA for ingestion in the ALMA Science Archive.
-
The benefit of the delivered products to the community.
-
-
Publication plan. Indicate the major publications anticipated for this project and the timeline for publication.
5.5.3 Team Expertise
All Large Programs must submit a one-page PDF statement through the OT detailing the “Team expertise”. This statement should include names of, at minimum, the major participants of the proposing team and their responsibilities within the proposed project. This statement does not need to follow the dual-anonymous guidelines.
PIs and Co-PIs should be aware of the distinction between the Management Plan and Team Expertise documents. The Management Plan must be included in the Scientific Justification and must adhere to the dual-anonymous guidelines, whereas the Team Expertise document must be submitted separately and should not be anonymized. Proposals that lack a Management Plan or include an incomplete plan may be disqualified without review.
The ARCs can provide assistance to Large Program teams in optimizing the observing strategy for their proposals and preparing the Management Plans. PIs are encouraged to contact their ARCs via the ALMA Helpdesk early in the proposal process to receive assistance on any of these needs and to ensure the availability of the necessary computing and storage resources.
5.6 Proposal validation, submission and withdrawal
After the proposal is validated within the ALMA OT, it can be submitted to the ALMA Archive. Proposers should be aware that validation could take a considerable amount of time if the program contains complicated setups or a large number (hundreds) of sources. PIs of such programs should validate and submit their proposals well before the deadline. Each proposal will be assigned a project code after the first submission. A proposal can be updated and submitted again to the ALMA Archive as many times as needed by the PI before the proposal deadline. Each time a proposal is submitted, the previous version of the proposal is overwritten in the Archive (Section 5.6.1). Submitted proposals cannot be modified after the deadline. DDT proposals are not overwritten when submitted again, so they should only be submitted once.
Proposals will be accepted starting at 15:00 UTC on Thursday, 19 March 2026 and until the proposal deadline at 15:00 UTC on Thursday, 23 April 2026. No proposal submissions or updates will be accepted after the deadline. It is the PI’s responsibility to submit the proposal successfully before the deadline. PIs are encouraged to submit their proposals early.
In addition, the following considerations apply:
-
PIs, Co-PIs, and Co-Is can retrieve proposals from the Archive both before and after the deadline.
-
PIs who successfully submit their proposal will receive a confirmation e-mail from ALMA that includes the assigned project code.
-
DDT proposals may be submitted at any time. Like all other proposals, they must include a detailed science case and TJ. DDT proposals must be submitted using the version of the ALMA OT that corresponds to the current cycle.
-
An ALMA Helpdesk ticket should be submitted if the PI needs to withdraw a proposal that has already been assigned a project code.
5.6.1 Proposal updates
The web-based ALMA OT includes a staging area which contains all unsubmitted and submitted proposals as well as unsubmitted changes of submitted proposals. PIs who update their submitted proposals should ensure that they resubmit the wanted changes.
A project can be cloned from an unsubmitted project in the staging area, from a submitted proposal of the current cycle or from a previous cycle. To clone a project, the PI should use “Open Project as New Proposal”.
5.7 Proposal evaluation and selection
5.7.1 Peer review
ALMA will use a distributed peer review process for scientific review of most proposals submitted for Cycle 13. Proposals requesting less than 50 hours on the 12-m Array and ACA stand-alone proposals requesting less than 150 hours on the 7-m Array will be evaluated in this way. The review process is summarized below; for additional details, including Guidelines for Reviewers and the expected timeline, see the Proposal Review section of the Science Portal.
Except for Large Programs, the PI of each proposal must designate themselves or a Co-I as a reviewer at the time of submission. To keep the workload to a manageable level, the maximum allowed number of Proposals Sets to be reviewed by a single reviewer is three. This maximum number is not enforced by the ALMA OT, but will be checked by the PHT at the JAO after the proposal deadline. If a reviewer has been selected to receive more than three Proposal Sets, the reviewer will be contacted by the Proposal Handling Team (PHT) to designate another reviewer among the proposal Co-Is. If the reviewer does not identify alternative reviewers by 15:00 UTC on 28 April 2026 the PHT will reject the reviewer’s proposal(s) with the highest proposal code(s) until the maximum allowed number of Proposal Sets to review is reached. Thus, PIs are encouraged to designate one of their Co-Is as reviewer on one or more proposals when submitting multiple proposals. More information is provided in the Overview of Distributed Peer Review page on the Science Portal.
After the proposal deadline, the PHT will assign ten proposals to the designated reviewer of each proposal. The proposal assignment will be done based on the expertise of the designated reviewer as specified in their user profile.6 The assignment process will also consider possible conflicts of interest. If the designated reviewer provides a list of their conflicts of interest in their user profile, the assignment process will take this information into account and the reviewer will not be assigned proposals for review in which the PI, a Co-PI, or a Co-I are in their list. If no list of conflicts is provided, the assignment process will identify conflicts based on the designated reviewer’s past ALMA collaborations. During the review process, if the reviewer identifies a conflict of interest in their assigned proposals, they can request a replacement proposal through the Reviewer Tool. Then during Stage 1, the reviewer will rank the ten proposals (1–10, strongest to weakest) in order of scientific priority and write a review for each proposal. If ranks and reviews are not submitted by the Stage 1 review deadline at 15:00 UTC on 03 June 2026, the proposal on which the reviewer is acting as the designated reviewer will be declined.
Following the Stage 1 review deadline, reviewers enter Stage 2. During this stage reviewers gain access to anonymized comments from the other reviewers of the same proposals. Based on this information, reviewers have the opportunity to modify their rankings and comments. Stage 2 allows reviewers to identify critical strengths or weaknesses of a proposal that may have been overlooked during Stage 1 and to learn from their peers.
After Stage 2 is completed, the ranks from individual reviewers are combined to form an overall ranked list. For a given proposal, the least favorable (numerical highest) rank is discarded, and the remaining ranks are averaged to produce an average rank. These average ranks are then normalized within each scientific category onto a common scale, ensuring consistent treatment of proposals from different categories in the overall ranked list. Finally, the sorted list of average and normalized ranks determines the overall scientific ranked list of proposals.
Any PI and most Co-Is can be designated as a reviewer. If the PI does not have a Ph.D. at the time of proposal submission (e.g., a student), the PI can still be the reviewer, but a mentor (who must have a Ph.D.) must be identified at the time of the proposal submission. A PI may designate a Co-I as the reviewer as long as the Co-I has a Ph.D. in astronomy or a closely related field. When planning to submit multiple proposals, PIs are encouraged to designate a Co-I as reviewer. The reviewer and (if needed) mentor must be designated in the ALMA OT at the time of proposal submission.
Large Programs will be reviewed by a single panel, the ALMAProposalReviewCommittee (APRC). The APRC will be composed of 16–18 members of the scientific community drawn from the five ALMA science categories. Barring conflicts of interest, all members of the APRC will review all submitted Large Programs. Proposers should take special care to write their proposals for a broad audience considering the different expertise of the members of the APRC. This assignment is done based on the expertise of the APRC members and the science category selected by the PI when submitting their proposal (see Appendix D for the list of scientific categories). To gain further expertise, Large Programs will also be reviewed by external Science Assessors, who will provide written reports for the APRC to consider during the meeting. The APRC will take all reviews into consideration and will recommend which Large Program(s) to schedule.
After the outcome of the proposal review process is approved by the ALMA Director’s Council and a Chilean representative, the results will be communicated to the PIs. The notifications will include the assigned grade. Large Programs will receive a consensus report from the APRC that summarizes the strengths and weaknesses of the proposal. Regular programs will receive the ranks and individual written reviews from the distributed peer review process, accessible through SnooPI.
5.7.2 Evaluation criteria
The primary criteria to rank all proposals are the overall scientific merit of the proposed investigations and their potential contribution to the advancement of scientific knowledge. The guidelines for the reviewers contain detailed review criteria. The proposals will also be evaluated for technical feasibility and suitability of observations for the proposed science goals to ensure they are consistent with ALMA Observatory best practices.
Given the significant investment of ALMA resources for Large Programs, the APRC will also consider the following factors for these programs:
-
Scientific impact: The APRC will evaluate if the Large Program addresses a strategic scientific issue and has the potential to lead to a major advance or breakthrough in the field that cannot be achieved by combining regular proposals.
-
Value-added data products: The APRC will evaluate if the data products that will be delivered by the proposal team are appropriate given the scope of the proposal and if the products will be of value to the community.
-
Publication plan: The APRC will evaluate if the planned publications and timeline are appropriate for the scope of the proposal.
-
Team organization and resources: The APRC will evaluate if the proposal team is prepared to complete the project in a timely fashion, both in terms of personnel and computing resources.
-
Team expertise: The team expertise statement will be evaluated only after the APRC has completed the scientific rankings of the Large Programs. The evaluation of the team expertise will not be used to modify the scientific rankings. Any concerns that the APRC has about the team expertise will be communicated to the ALMA Director, who will make the final decision on whether to accept the proposal.
-
Scheduling feasibility: A Large Program should be designed such that the observations are likely to be completed within Cycle 13 given the antenna configuration schedule and weather constraints, and such that the requested observing time for each receiver band is consistent with the available time offered in Cycle 13 (see Sections 3.3 and 4.3). The JAO will assess the technical and scheduling feasibility.
5.7.3 Proposal selection
The results from the APRC and the distributed peer review will be used to form an observing queue based primarily on the scientific rankings from the review process.7 The formation of the observing queue will also take into account the scheduling constraints dictated by the configuration schedule and weather, the share of observing time for each region, and the time constraints on Large Programs and VLBI.
Up to 33% of the nominal time specified in Section 4.1 will be assigned to Grade A proposals and 67% to Grade B proposals. Grade C will be assigned to proposals for filler time to ensure that an adequate number of projects are available for all configurations and LST ranges in case the actual observing efficiency or weather conditions differ from expectations.
The shares of the observing time among the regions are:
-
33.75% for the European Organisation for Astronomical Research in the Southern Hemisphere (ESO).
-
33.75% for the National Science Foundation of the United States (NSF).
-
22.5% for the National Institutes of Natural Sciences of Japan (NINS).
-
10% for the Chilean community, which is administered jointly by the Agencia Nacional de Investigación y Desarrollo (ANID) and the Universidad de Chile.
All regions contribute toward “Open Skies” to enable all eligible Principal Investigators (Section 2.5) to apply for ALMA time.
5.8 Proposal confidentiality
For proposals assigned Grade A or B, the project code, the proposal title and abstract, the name and region of the PI, and the names of Co-Is (and Co-PIs, in the case of Large Programs) will be made public soon after PIs are informed of the outcome of the proposal review process. This information is provided on the “Highest Priority Projects” page of the Science Portal. For proposals assigned Grade C, the corresponding information will be made public as soon as its first data are archived.
Metadata (for example the source positions, observation frequencies, and integration times) for Grade A proposals will become public soon after the proposal review process is completed. For Grade B and C proposals, metadata will be made public as soon as the first data are archived. The metadata for proposals with Grade U or unobserved Grade B or C proposals will remain confidential.
The Scientific and Technical Justifications of all submitted proposals remain confidential, except for VLBI proposals, which will be sent to the appropriate VLBI network for technical review, and Joint Proposals, which will be sent to the appropriate partner observatories for technical evaluation.
5.9 Additional guidance for proposers
ALMA encourages the scientific diversity of proposals. However, the submission by the same science team of multiple proposals with very similar high level science goals but otherwise minor differences is discouraged and should be avoided. Such proposals should be consolidated whenever possible. In recent cycles, an increase in the number of such proposals has been detected. ALMA will monitor this trend and may consider policy changes in the future if the trend continues.
6. Post-proposal activities
6.1 Observation preparation and submission: Phase 2
Once a project has been approved for scheduling, the project passes into Phase 2. PIs will not be required to submit Phase 2 Science Goals in Cycle 13 (see the ALMA Users’ Policies for further details). Each approved project will be assigned an ALMA CS at the associated ARC or ARC node and a project ALMA Helpdesk ticket will be opened on behalf of the PI for communication with the CS and others. Necessary minor changes may be requested through this Helpdesk ticket and can usually be implemented as long as they do not impact the science scope or increase the total execution time. Any significant change may only be made after the approval of a PI-initiated change request through the ALMA Helpdesk (Section 6.2). The CS can assist the PI with any questions during Phase 2.
ALMA staff will generate the SBs and, in case of problems, will contact the CS and the PI. An SB is defined as the minimum set of instructions describing an ALMA observation that can be fully calibrated (see Chapter 8 of the Technical Handbook for more details regarding hierarchical level of an ALMA observing project). If no problems are found, the project will be submitted to the ALMA observing queue to await execution at the telescope. PIs may track the status of their SBs through SnooPI, accessible from the Science Portal.
For approved solar observations, the ALMA staff will coordinate with the PI to get an updated target ephemeris at least 24 hours in advance of the proposed observation. Please see Appendix A.11 for additional guidance on triggering solar observations. PIs of observations with ephemeris targets other than the Sun or Solar System objects with internal ephemeris provided by the observatory (see Section 5.2.1 of the OT Reference Manual) are responsible for providing a valid target ephemeris file during the Phase 2 process and any updates during the cycle if necessary.
6.2 Changes to submitted programs
Changes to a submitted proposal will not be permitted prior to the completion of the review process. Therefore, PIs should carefully check source coordinates, frequency and AR settings, and calibration needs before submitting their proposal. PIs are encouraged to use the ALMA Helpdesk if they need support.
PIs of proposals assigned a grade of A, B, or C may request changes to their projects subject to the ALMA Change Request policies described in the ALMA Users’ Policies. Minor changes can usually be made, but PIs are strongly encouraged to make any necessary requests well in advance of the potential scheduling of observations. Major changes are allowed only if additional information that may seriously affect the scientific case of the project has become available since the time of submission, when there is a demonstrable mistake, or when there is the potential for interesting scientific optimization.
All change requests are made through the ALMA Helpdesk. The request must include a clear description of the proposed change along with a clear, substantive justification for the change. Major change requests are treated case-by-case and evaluated taking into account the increase in science scope, change of observing time, changes in the observing setups, and other factors. Change requests leading to duplications against ALMA proposals in the observing queue or archival observations will not be approved.
6.3 Data processing and data delivery
ALMA staff, assisted by the ALMA Data Reduction Pipeline, will conduct quality assurance on ALMA data and will provide processed data products through the respective ARC archives. Quality Assurance Level 2 (QA2) is performed on the data that result from all executions of an SB. In particular, the data are checked for calibration accuracy and to assure there are no imaging artifacts (see ALMA QA2 Data Products for more details). These checks are guided by objective numerical quality assurance indicators (i.e., QA scores) covering all critical aspects of calibration and imaging. In most cases these metrics are used to inform expert staff reviewers. A small fraction of datasets consisting of the best quality data that are fully processed by the Pipeline and demonstrate uniformly high quality assurance metrics pass QA2 automatically without human review. These datasets are comparable in quality to those that have been reviewed manually. Data that meet the PI-specified goals within cycle-specific tolerances (see Chapter 11 of the Technical Handbook) are made available to the PI. Once the products have been identified as suitable for delivery, the PI is notified that the data are available for download through the ALMA Archive. PIs are requested to check the delivered data as soon as practical. If the PI discovers a problem in the delivered data other than any caused by a PI mistake, they must submit a Quality Assurance Level 3 (QA3) request to the ALMA Helpdesk as soon as possible, since such problems will have implications for re-observations and the proprietary period. For a more detailed description of the QA process, see the ALMA Users’ Policies and Chapter 11 of the Technical Handbook.
By default, data obtained as part of an ALMA science program are subject to a proprietary period of 12 months (except DDT programs, which by default have no proprietary period; see Section 3.6), starting for each data package when the PI is notified that the data are available (see the ALMA Users’ Policies).
At any time, a PI can use the Science Portal to request access to raw data for any execution that has passed Quality Assurance Level 0 (QA0). This request modifies the start of the proprietary period: once the raw data are staged for PI access, the proprietary time starts for that SB. See the ALMA Users’ Policies for more details on requesting raw data or contact the appropriate ARC via the ALMA Helpdesk for support.
6.4 Opportunities for public promotion of ALMA
If a PI believes their results are newsworthy or of interest to a broader community, the PI should contact the ALMA Education and Public Outreach (EPO) team to develop materials for presentation to the media and the public (e.g., press releases), including support in the preparation of visuals, if relevant. EPO may ask for cooperation on the scientific content and for the PI to be available for possible interviews. The e-mail address for the ALMA EPO team is alma-iepot@alma.cl.
A. ALMA Cycle 13 Capabilities
This appendix describes the characteristics and capabilities of ALMA offered for Cycle 13. All submitted proposals must be compliant with these capabilities or they will be judged as infeasible. Where possible, the ALMA OT performs validation checks to warn the user or to prevent the user from entering unallowed values.
A.1 Number of antennas
At least forty-three 12-m antennas will be offered in the 12-m Array. The ACA will have available at least ten 7-m antennas (hereafter the 7-m Array) for short baselines and three 12-m antennas (hereafter the Total Power Array or TP Array) for making single-dish maps. The ACA will be offered both to complement observations with the 12-m Array and as a stand-alone capability. The stand-alone ACA is offered either with the 7-m Array alone or with the 7-m Array and TP Array combined. The ALMA OT currently does not permit users to request only the TP Array (see Appendix A.3 if TP Array observations are needed to supplement archival 7-m Array data). Proposals requesting stand-alone ACA time are subject to certain restrictions, including no bandwidth switching, no solar observations, no user-specified calibration, and no astrometric observations.
The number of antennas available may sometimes be fewer than the numbers given above due to unforeseen problems with the equipment, or during array reconfigurations. During these times, ALMA staff aim to schedule observations that will not be seriously affected by having a slightly smaller number of antennas and may increase the integration times to compensate for the reduced sensitivity or reduced instantaneous uv-coverage, whenever practical.
A.2 Array configurations
As detailed in Section 4.5, an SG is defined in terms of a desired range of ARs and the LAS to be imaged. ALMA will meet these requirements by taking observations in one or more array configurations, which are characterized in terms of their AR and MRS (the largest smooth angular structure to which a given array is sensitive – see Chapter 7 of the Technical Handbook for details). The properties of these configurations, and the allowed combinations, therefore define the imaging capabilities of ALMA.
The antennas in the 12-m Array will be staged into configurations that transition from the most compact (with maximum baselines of ∼160 m) up to the most extended configuration (maximum baselines of 16.2 km in Cycle 13). Ten 12-m Array configurations have been defined to represent the possible distribution of antennas over this range of maximum baselines. These are denoted as C-X, with X=1 for the most compact configuration and X=10 for the most extended in Cycle 13. One 7-m Array configuration has been defined to represent the possible distribution of the ten 7-m antennas. The imaging capabilities of these configurations are given in Tables A-1 and A-2.
| Band | 1 | 2 | 3 | 4 | 5 | 6 | 7 | 8 | 9 | 10 | ||
|---|---|---|---|---|---|---|---|---|---|---|---|---|
| Config. | Lmax | Freq. (GHz) | 40 | 75 | 100 | 150 | 185 | 230 | 345 | 460 | 650 | 870 |
| 7-m | 45 m | θ (′′) | 31.8 | 16.9 | 12.7 | 8.47 | 6.87 | 5.52 | 3.68 | 2.76 | 1.95 | 1.46 |
| C-1 | 161 m | θmax (′′) | 8.28 | 4.42 | 3.31 | 2.21 | 1.79 | 1.44 | 0.96 | 0.72 | 0.51 | 0.38 |
| θmin (′′) | 7.69 | 4.10 | 3.07 | 2.05 | 1.66 | 1.34 | 0.89 | 0.67 | 0.47 | 0.35 | ||
| C-2 | 314 m | θmax (′′) | 7.96 | 4.24 | 3.18 | 2.12 | 1.72 | 1.38 | 0.92 | 0.69 | 0.49 | 0.37 |
| θmin (′′) | 7.31 | 3.89 | 2.92 | 1.95 | 1.58 | 1.27 | 0.85 | 0.64 | 0.45 | 0.34 | ||
| C-3 | 500 m | θmax (′′) | 5.97 | 3.19 | 2.39 | 1.59 | 1.29 | 1.04 | 0.69 | 0.52 | 0.37 | 0.27 |
| θmin (′′) | 4.79 | 2.55 | 1.91 | 1.28 | 1.03 | 0.83 | 0.55 | 0.42 | 0.29 | 0.22 | ||
| C-4 | 784 m | θmax (′′) | 3.54 | 1.88 | 1.41 | 0.94 | 0.76 | 0.61 | 0.41 | 0.31 | 0.22 | 0.16 |
| θmin (′′) | 2.99 | 1.60 | 1.20 | 0.80 | 0.65 | 0.52 | 0.35 | 0.26 | 0.18 | 0.14 | ||
| C-5 | 1.4 km | θmax (′′) | 2.22 | 1.18 | 0.89 | 0.59 | 0.48 | 0.39 | 0.26 | 0.19 | 0.14 | 0.10 |
| θmin (′′) | 1.80 | 0.96 | 0.72 | 0.48 | 0.39 | 0.31 | 0.21 | 0.16 | 0.11 | 0.083 | ||
| C-6 | 2.5 km | θmax (′′) | 1.34 | 0.72 | 0.54 | 0.36 | 0.29 | 0.23 | 0.16 | 0.12 | 0.082 | 0.061 |
| θmin (′′) | 0.99 | 0.53 | 0.40 | 0.26 | 0.21 | 0.17 | 0.11 | 0.086 | 0.061 | 0.046 | ||
| C-7 | 3.6 km | θmax (′′) | 0.74 | 0.39 | 0.30 | 0.20 | 0.16 | 0.13 | 0.086 | 0.064 | 0.046 | 0.034 |
| θmin (′′) | 0.67 | 0.36 | 0.27 | 0.18 | 0.14 | 0.12 | 0.077 | 0.058 | 0.041 | 0.031 | ||
| C-8 | 8.5 km | θmax (′′) | 0.50 | 0.27 | 0.20 | 0.13 | 0.11 | 0.087 | 0.058 | 0.043 | 0.031 | 0.023 |
| θmin (′′) | 0.31 | 0.17 | 0.12 | 0.083 | 0.067 | 0.054 | 0.036 | 0.027 | 0.019 | 0.014 | ||
| C-9 | 13.9 km | θmax (′′) | 0.19 | 0.10 | 0.074 | 0.049 | 0.040 | 0.032 | 0.021 | 0.016 | 0.011 | 0.0085 |
| θmin (′′) | 0.16 | 0.083 | 0.062 | 0.041 | 0.034 | 0.027 | 0.018 | 0.013 | 0.010 | 0.0071 | ||
| C-10 | 16.2 km | θmax (′′) | 0.14 | 0.076 | 0.057 | 0.038 | 0.031 | 0.025 | 0.017 | 0.012 | 0.0088 | 0.0066 |
| θmin (′′) | 0.13 | 0.068 | 0.051 | 0.034 | 0.028 | 0.022 | 0.015 | 0.011 | 0.0078 | 0.0059 |
Table A-1: Angular resolution (θ) values for the 7-m Array and different 12-m Array configurations are shown for one representative frequency in each ALMA receiver band. θ is a guideline value for the angular resolution achievable with a given combination of band and configuration, assuming a source at -23 deg Dec. For the 12-m Array, a θmax and θmin are shown to convey the range of possible resolutions provided by the 50-antenna configurations, depending on the available antenna pads used by actual operational configurations. This range is used by the ALMA OT to best match the PI requested resolution to configurations. The actual angular resolution will additionally depend on multiple factors including: the source declination, hour angle of the observation, and observing frequency within the band. For sources transiting at lower elevations, the North-South angular measures will increase proportional to 1/sin(elevation). The full set of configuration tables is accessible in the OT at https://cycle-13.sps.alma.cl, by clicking on “Open configuration tables”, shown by an antenna icon on the right side of the top banner.
| Band | 1 | 2 | 3 | 4 | 5 | 6 | 7 | 8 | 9 | 10 | ||
|---|---|---|---|---|---|---|---|---|---|---|---|---|
| Config. | Lmin | Freq. (GHz) | 40 | 75 | 100 | 150 | 185 | 230 | 345 | 460 | 650 | 870 |
| 7-m | 9 m | θMRS (′′) | 167 | 88.9 | 66.7 | 44.5 | 36.1 | 29.0 | 19.3 | 14.5 | 10.3 | 7.67 |
| C-1 | 15 m | θMRS (′′) | 71.2 | 38.0 | 28.5 | 19.0 | 15.4 | 12.4 | 8.25 | 6.19 | 4.38 | 3.27 |
| C-2 | 15 m | θMRS (′′) | 56.5 | 30.1 | 22.6 | 15.0 | 12.2 | 9.81 | 6.54 | 4.90 | 3.47 | 2.59 |
| C-3 | 15 m | θMRS (′′) | 40.5 | 21.6 | 16.2 | 10.8 | 8.73 | 7.02 | 4.68 | 3.51 | 2.48 | 1.86 |
| C-4 | 15 m | θMRS (′′) | 28.0 | 14.9 | 11.2 | 7.50 | 6.08 | 4.89 | 3.26 | 2.44 | 1.73 | 1.29 |
| C-5 | 15 m | θMRS (′′) | 16.8 | 8.93 | 6.70 | 4.47 | 3.62 | 2.91 | 1.94 | 1.46 | 1.03 | 0.77 |
| C-6 | 15 m | θMRS (′′) | 10.3 | 5.48 | 4.11 | 2.74 | 2.22 | 1.78 | 1.19 | 0.89 | 0.63 | 0.47 |
| C-7 | 64 m | θMRS (′′) | 6.45 | 3.44 | 2.58 | 1.72 | 1.40 | 1.12 | 0.75 | 0.56 | 0.40 | 0.30 |
| C-8 | 110 m | θMRS (′′) | 3.55 | 1.89 | 1.42 | 0.95 | 0.77 | 0.62 | 0.41 | 0.31 | 0.22 | 0.16 |
| C-9 | 368 m | θMRS (′′) | 2.03 | 1.08 | 0.81 | 0.54 | 0.44 | 0.35 | 0.24 | 0.18 | 0.13 | 0.093 |
| C-10 | 244 m | θMRS (′′) | 1.25 | 0.67 | 0.50 | 0.33 | 0.27 | 0.22 | 0.14 | 0.11 | 0.077 | 0.057 |
Table A-2: Maximum recoverable scale (θMRS) values for the 7-m Array and different 12-m Array configurations are shown for one representative frequency in each ALMA receiver band. θMRS is computed using the 5th percentile baseline (L05) from Table 7.3 and Equation 7.6 in the Technical Handbook. The actual maximum recoverable scale resolution will additionally depend on multiple factors including: the source declination, hour angle of the observation, and observing frequency within the band.
A.3 Total Power Array
The TP Array is used to recover extended emission when mapping angular scales up to the size of the requested map areas. TP Array observations are included only if the LAS cannot be achieved with the 7-m Array, and the TP Array can only be used for spectral-line observations (not continuum) in Bands 3 through 8. No Band 1, Band 2, Band 9, or Band 10 TP Array observations are offered for this cycle. Thus, angular scales greater than the 7-m Array MRS listed in Table A-2 cannot be recovered for any observations in Bands 1, 2, 9 and 10, or for continuum observations in any band.
The TP Array cannot be requested in a stand-alone mode using the ALMA OT. However, if a user has existing 7-m Array data through their own program or through archival data, but now realizes that TP Array data are needed to obtain short spacings, they can submit a proposal requesting both the 7-m Array and TP Array. The proposal should indicate that only the TP Array is needed and that the 7-m Array should be descoped if the proposal is accepted. This option is available only if the 7-m Array data have already been obtained.
A.4 Allowed array combinations and time multipliers
Only certain combinations of arrays and array configurations are allowed by the OT when attempting to meet the specifications of a given SG. An SG can use no more than two 12-m Array configurations, and 7-m Array observations are only allowed in conjunction with 12-m Array observations if one of the three most compact 12-m Array configurations is required. TP Array observations are allowed only if 7-m Array observations are also obtained (and subject to the restrictions in the preceding section). The allowed combinations are given in Table A-3 (with empty cells indicating combinations that are not allowed), and are built into the ALMA OT validation.
For the resulting data to be combined based on the sensitivity and weighting between the allowed 12-m, 7-m and TP Array configurations, the different arrays must be observed in the correct proportion, depending on the number of overlapping baselines (see Chapter 7 of the Technical Handbook for details). These are expressed in terms of multiplicative factors with respect to the time required in the most extended configuration (which in turn is set by the user-requested sensitivity and angular resolution). The adopted time multipliers are given in Table A-3, and are used in the ALMA OT.
| Most Extended configuration | Allowed Compact configuration pairings | Extended 12-m Array Multiplier | Multiplier if compact 12-m Array needed | Multiplier if 7-m Array needed | Multiplier if TP Array needed and allowed (with 7-m Array in 4x4-bit mode) | Multiplier if TP Array needed and allowed (with 7-m Array in 2x2-bit mode) |
|---|---|---|---|---|---|---|
| 7-m Array | TP | 1 | 1.7 | 1.4 | ||
| C-1 | 7-m Array & TP | 1 | 7.0 | 11.9 | 9.5 | |
| C-2 | 7-m Array & TP | 1 | 4.7 | 7.9 | 6.3 | |
| C-3 | 7-m Array & TP | 1 | 2.4 | 4.1 | 3.3 | |
| C-4 | C-1 & 7-m Array & TP | 1 | 0.34 | 2.4 | 4.0 | 3.2 |
| C-5 | C-2 & 7-m Array & TP | 1 | 0.26 | 1.2 | 2.1 | 1.7 |
| C-6 | C-3 & 7-m Array & TP | 1 | 0.25 | 0.6 | 1.0 | 0.8 |
| C-7 | C-4 | 1 | 0.23 | |||
| C-8 | C-5 | 1 | 0.22 | |||
| C-9 | C-6 | 1 | 0.21 | |||
| C-10 | – | 1 |
Table A-3: Allowed Array Combinations and Time Multipliers for Cycle 13. See Chapter 7 of the Technical Handbook for relevant equations and detailed considerations. If the array configuration that meets the AR request according to Table A-1 has a MRS that is smaller than the LAS request according to Table A-2, the OT checks if adding more compact array configurations, following the restrictions of this Table, fulfills the LAS request. If so, the final setup consists of the selected combination of arrays. Otherwise, the OT returns a validation error.
If more than one configuration is needed to satisfy the AR and LAS constraints of a given SG, separate SBs will be prepared during Phase 2 (Section 6.1) for each required configuration. These will be observed independently, and the data from the different SBs will be calibrated and imaged separately.
An exception to the rules above occurs when requesting simultaneous observations with the 7-m Array and the 12-m Array. In this case the 12-m Array configuration is limited to C-1 through C-6 and only a single 12-m Array configuration will be observed (e.g., if observations are taken in C-6, C-3 will not be observed). The TP Array will also be included if required to satisfy the LAS constraints. See the Technical Handbook for more details.
A.5 Receivers
Bands 1 and 3 through 10 are available on all antennas. Band 2 will be available on almost all 12-m antennas by the start of Cycle 13, with remaining antennas (including the 7-m Array) being populated during Cycle 13. For Cycle 13, observations with all bands are offered in 12-m Array configurations up through C-10 (see Appendix A.2). Bands 1 and 3 through 10 are offered on the 7-m Array. Observations with Bands 3 through 8 are offered on the TP Array for spectral line observations only (see below). Table A-4 summarizes the properties of the receiver bands offered in Cycle 13. Details can be found in Chapter 4 of the Technical Handbook.
There are three types of receivers: Dual-sideband (2SB), where the upper and lower sidebands are separated in the receiver and then processed separately, Double-sideband (DSB), where the sidebands are super-imposed coming out of the receiver but are separated in later processing, and single-sideband (SSB) where a filter in the receiver before the mixer only passes one sideband. All bands receive dual linear polarizations (XX and YY).
| Band | Frequency range | Wavelength range | Intermediate Frequency (IF) range | Type |
| (GHz) | (mm) | (GHz) | ||
| 1 | 35 – 50 | 8.5 – 6 | 4 – 12 | SSB |
| 2 | 67 – 116 | 4.5 – 2.6 | 4 – 12 | 2SB |
| 3 | 84 – 116 | 3.6 – 2.6 | 4 – 8 | 2SB |
| 4 | 125 – 163 | 2.4 – 1.8 | 4 – 8 | 2SB |
| 5 | 158 – 211 | 1.9 – 1.4 | 4 – 8 | 2SB |
| 6 | 211 – 275 | 1.4 – 1.1 | 4.5 – 10 | 2SB |
| 7 | 275 – 373 | 1.1 – 0.8 | 4 – 8 | 2SB |
| 8 | 385 – 500 | 0.78 – 0.60 | 4 – 8 | 2SB |
| 9 | 602 – 720 | 0.50 – 0.42 | 4 – 12 | DSB |
| 10 | 787 – 950 | 0.38 – 0.32 | 4 – 12 | DSB |
Table A-4: Properties of ALMA Cycle 13 Receiver Bands. These are the nominal frequency ranges for continuum observations. Observations of spectral lines that are within about 0.2 GHz of a band edge are not possible (at present) in Frequency Division Mode (FDM) (see Appendix A.6.1) because of the responses of the spectral edge filters implemented in the correlator. IF is the intermediate frequency.
The capability to switch rapidly between receiver bands within the same SG (except for the purposes of data calibration) is not offered.
WVR measurements to correct for fluctuations in atmospheric water vapor are available for all 12-m antennas. No WVRs are installed in the ACA 7-m antennas and no WVR corrections will be applied to 7-m Array observations.
A.5.1 Considerations for Band 1
Due to the large fractional bandwidth in Band 1, the source structure can be smeared near the edge of the primary beam in Band 1 with long baseline configurations (C-8 through C-10). For the observations that require mapping over a wide area within the primary beam in Band 1, please consider using FDM with 1.875 GHz bandwidth and a spectral averaging of 4 or fewer channels. Note that the smearing effect is worse for full polarization observations because the channel width is larger by a factor of two. For full polarization observations it is recommended to use FDM with a spectral averaging of 2 channels or no averaging. See the “What considerations for Band 1 proposals are there?” Knowledgebase Article for more details. The spectral dynamic range of Band 1 cannot exceed ∼ 100 (see Appendix A.9.3).
A.5.2 Considerations for Band 2 and the overlap with Band 3
The Band 2 frequency range fully encompasses that of Band 3, and sensitivity within the Band 3 range (84–116 GHz) is similar for both receiver bands. Band 2 generally offers greater tuning flexibility due to the wider available IF range, although the different LO frequency ranges mean some particular combinations of spectral window frequencies can only be accessed by Band 3 (e.g. 101, 103, 113, 115 GHz is possible with Band 3 with LO of 108 GHz, but for Band 2 this frequency combination is not currently possible).
For Cycle 13, the OT applies the following logic when deciding between Band 2 and 3. If the requested frequency setup can be accommodated by Band 3, Band 3 is used. Band 2 is used only when the requested frequency setup cannot be accommodated by Band 3. If, for example, any spectral window for a given SG extends below 84 GHz it will trigger use of Band 2. If the combination of spectral window frequencies can only be achieved with Band 2, even if all are fully above 84 GHz, Band 2 will be used. An example where the latter would be the case is covering multiple CO isotopologues (at low-z) in a single tuning where basebands may be centered at 110 and 115 GHz (13CO(1–0)+C18O(1–0) and 12CO(1–0), respectively), which fit within the upper sideband of Band 2 but are not accessible simultaneously with Band 3. If a science goal would require both Band 2 and 7-m or TP arrays, then the OT will issue a validation error.
For spectral scans within a science goal, Band 2 will be used if the starting frequency is below 84 GHz or if spectral windows wider than 1 GHz are used (Band 2 offers more uniform and efficient spectral coverage than Band 3 as all four basebands can be placed contiguously within a single sideband). If the starting frequency for a spectral scan is above 84 GHz and the spectral windows are less than 1 GHz wide Band 3 will be used.
Band 2 has only been commissioned for on-axis polarization observations, so only on-axis polarization is offered for Cycle 13. VLBI/Pulsar (phased array) and Solar capabilities are not yet available with Band 2.
A.5.3 Considerations for Bands 9 and 10
For observations in Bands 9 and 10, PIs should take the following considerations into account. Because the sidebands can be separated reliably only in interferometric observations, single-dish Bands 9 and 10 observations with the TP Array will not be offered in Cycle 13. At Bands 9 and 10, a special correlator mode (90-degree Walsh Switching) is available. For every spectral window defined by the user, enabling this feature will produce another spectral window in the other sideband, mirrored around the value of Local Oscillator 1 (LO1). This mode doubles the continuum bandwidth to 15 GHz, thus producing a √2 improvement in sensitivity or reducing the time required to achieve a particular sensitivity by a factor of 2. In addition, the greater bandwidth coverage allows more spectral lines to be observed simultaneously, although aligning the spectral windows such that they cover additional transitions is difficult and thus this mode is currently restricted to the widest-bandwidth spectral windows. In Cycle 13, 90-degree Walsh Switching will be activated by default for continuum and spectral-line setups, although for the latter it will be possible (but not recommended) to deactivate it.
Owing to the complexity of the atmospheric absorption in Bands 9 and 10, calibration will be more problematic (this also applies to Band 8 and the high-frequency end of Band 7). Band 9 and 10 7-m Array observations will be more difficult to calibrate than the corresponding 12-m Array observations because the rapid atmospheric phase correction cannot be applied and the smaller collecting area will limit the network of usable calibrators. Band 9 and 10 proposals (in particular, but not exclusively, those using the 7-m Array) that use narrow spectral windows ( < 128 MHz) are only recommended when there is very strong scientific justification. This is due to the complexities of calibration when calibrators have low signal-to-noise; such cases may potentially be technically infeasible if suitable calibrators cannot be found, and if feasible may require manual calibration processing which will result in longer data delivery time. In particular, bright calibrators are sparse at these high frequencies. When possible, the JAO will include 12-m dishes from the TP Array in the 7-m Array observation to support calibration; no special action or request is required by the PI. All these factors (in addition to the limited uv-coverage) will affect imaging at Bands 9 and 10 and will limit the achievable dynamic range with the ACA 7-m Array. Imaging dynamic ranges up to 50 are typical for these bands (see Appendix A.9.1 for more details).
No mosaics are offered for Band 10 observations.
A.6 Spectral capabilities
A.6.1 Spectral windows, bandwidths and resolutions
The ALMA IF system provides up to four basebands (per parallel polarization) that can be independently placed within the two receiver sidebands. For 2SB receivers (Bands 2 through 8; see Table A-4), the number of basebands that can be placed within a sideband is 0, 1, 2, 3, or 4. The placement of the basebands is restricted for these receivers in that it is not possible to place three basebands in one sideband and the fourth baseband in the other (see Chapter 6 of the Technical Handbook for details). This restriction does not apply for DSB receivers (Bands 9 and 10).
The 12-m Array and the 7-m Array use the 64-input Correlator and the TP Array uses the ACA Spectrometer. The correlator and spectrometer offer the same spectral setups. The 64-input Correlator operates in two main modes: Time Division Mode (TDM) and FDM. TDM provides modest spectral resolution and produces a relatively small data set. It is used for continuum observations or for spectral-line observations that do not require high spectral resolution. FDM provides high spectral resolution and produces much larger data sets. A total of six correlator setups with different bandwidths and spectral resolutions are available in the traditional 2x2 bit mode and five 4x4 modes are offered this cycle (see Table A-5).
| Bandwidth | Channel | Spectral | Number of | Correlator | Bit |
| spacing | resolution | channels | mode | Mode | |
| (MHz) | (MHz) | (MHz) | |||
| 1875 | 15.6 | 31.2 | 120 | TDM | |
| 938 | 0.976 | 1.952 | 960 | FDM | 4x4 |
| 1875 | 0.488 | 0.976 | 3840 | FDM | 2x2 |
| 469 | 0.488 | 0.976 | 960 | FDM | 4x4 |
| 938 | 0.244 | 0.488 | 3840 | FDM | 2x2 |
| 234 | 0.244 | 0.488 | 960 | FDM | 4x4 |
| 469 | 0.122 | 0.244 | 3840 | FDM | 2x2 |
| 117 | 0.122 | 0.244 | 960 | FDM | 4x4 |
| 234 | 0.061 | 0.122 | 3840 | FDM | 2x2 |
| 58.6 | 0.061 | 0.122 | 960 | FDM | 4x4 |
| 117 | 0.0305 | 0.061 | 3840 | FDM | 2x2 |
| 58.6 | 0.0153 | 0.0305 | 3840 | FDM | 2x2 |
Table A-5: Properties of ALMA Cycle 13 64-input Correlator Modes in Dual-polarization Operation. These values are for each spectral window and for each polarization, using the full correlator resources and no on-line spectral binning. The 4x4 bit modes are only available for the 64-input Correlator, and they provide higher correlator efficiency for a given spectral resolution and integration time compared with the 2x2 bit modes. The bandwidth of the 4x4 bit modes is 1/4 of that of the 2x2 bit mode with the same spectral resolution. Single-polarization modes are also available for the 2x2 bit modes, giving twice the number of channels per spectral window, and half the channel spacing of the above table. The “Channel spacing” is the frequency separation between data points in the output spectrum. The spectral resolution – i.e., the Full Width at Half Maximum (FWHM) of the spectral response function – is larger by a factor that depends on the “window function” applied to the data to control the ringing in the spectrum. For the default function – the “Hanning” window – this factor is 2. See Chapter 5 of the Technical Handbook for details. These values apply only to the 64-input Correlator.
For each baseband, the correlator resources can be divided across a set of Spectral windows (spws) that can be used simultaneously and positioned independently. Up to four spws per baseband are allowed in the 2x2 bit modes (for the 64-input Correlator). In addition, the 64-input Correlator can have one 4x4 bit spectral window per baseband (4x4 bit modes cannot be used in the same baseband with 2x2 bit modes, but a mixture of basebands using 4x4 and basebands using 2x2 is allowed). The correlator can be set to provide between 120 and 3840 channels within each spw (for 4x4 bit modes, the number of channels is fixed to 960), and the fraction of correlator resources assigned to each spw sets the number of channels and the bandwidth available within it. The sum of the fractional correlator resources spread across all spectral windows must be less than or equal to one (120 or 3840 channels in total).
The default correlator setup for FDM modes applies a spectral averaging factor of 2 (for 4x4 bit modes, this is not needed because of the reduced number of channels). This has the advantage of halving the data rate to produce more manageable data cubes, while reducing the spectral resolution by only 15%. However, an additional consideration when selecting the spectral averaging is that data taken over different time periods (e.g., different configurations or multiple observations within the same configuration) are not guaranteed to be precisely aligned in frequency. Therefore, the spectra will need to be interpolated onto a common frequency grid in CASA. If the expected linewidth is poorly sampled at the resolution of the spectrometer, it is recommended that no channel averaging be applied (i.e., a spectral averaging value of 1) to improve the accuracy of the interpolation (see Chapter 5 of the Technical Handbook for more information). Each correlator and spectrometer has a maximum data rate (70 MB/s for the 64-input Correlator) and the ALMA OT will issue a validation error if a given SG exceeds that data rate.
Different correlator modes can be specified for each baseband, but all spws within a given baseband must use the same correlator mode. For example, a high-resolution FDM mode can be used for spectral-line observations in one baseband (with up to four independently placed FDM spectral windows), while the other three basebands can be used for continuum observations using the low-resolution TDM mode. And while each spw within a baseband must use the same correlator mode, they can each be assigned a different fraction of the correlator resources and each use a different spectral averaging factor, providing a broad range of simultaneously observed spectral resolutions and bandwidths. Spectral windows can overlap in frequency, although the total continuum bandwidth for calculating the sensitivity is set by the total non-overlapped bandwidth.
The 4x4 modes offered in Cycle 13 are only available for the 64-input Correlator. For spectral-line projects that include 4x4 spectral windows and require TP observations, the set-up that will be used on the ACA Spectrometer will be the 2x2 mode listed in Table A-5 with the same spectral resolution (and four times the bandwidth). This bandwidth will guarantee that no sensitivity is lost on TP calibration observations that benefit from wider spectral coverage.
Users are encouraged to enter the redshift or velocity of the target in the ALMA OT when feasible, as opposed to calculating the sky frequency themselves. Entering the expected redshift or velocity will allow automated line searches and identifications in the Archive or with external tools.
A.6.2 Science Goals with more than one tuning
An SG can include up to five tunings per group of sources within 10 degrees on the sky, except for SGs that request long-baseline configurations, for which the grouping is limited to sources within 1 degree. Spectral scans or observations of targets with different radial velocities can thus be achieved within the same SG.
Each SB is self-contained for calibration. Therefore, multi-tuning SGs result in bandpass, amplitude, and gain calibrators being observed for each tuning in the SB. For SBs that can be completed in a single execution, this scheme is quite efficient. However, for SBs that require multiple executions, the available time for science targets in each execution is reduced, and the resulting SBs can be quite inefficient. For such observations, separating each tuning into its own SG can lead to more efficient SBs and lower overall time estimates.
Spectral scan mode
A special case of the multiple tuning SG is the Spectral Scan mode, which is useful for spectral surveys or redshift searches. It is possible to set up a spectral scan observation to include all three arrays (12-m, 7-m, TP) or ACA stand-alone, depending on the required angular resolution range. The ALMA OT will automatically configure a set of contiguous spectral windows to cover a specified frequency range. The following restrictions apply:
-
AR and LAS are computed for the Representative Frequency of each SG.
-
No more than five frequency tunings per target are used, all in the same band.
-
Only one pointing per target is used (no mosaics or offsets are allowed).
-
Full polarization cannot be selected.
-
TP spectral scans are only permitted for Bands 3 through 8.
A.7 Polarization
In addition to the dual-polarization (XX, YY) and single-polarization (XX) modes, observations to measure the full intrinsic polarization (XX, XY, YX and YY) of sources are also offered for 12-m Array TDM and FDM observations in Bands 1 through 7 as well as the stand-alone 7-m Array in Bands 1 and 3 through 7. For the 7-m Array, only linear polarization is guaranteed to meet the ALMA specification, and only within one third of the primary beam. While PIs will receive 7-m Array data that will allow them to generate circular polarization data, scientific commissioning has not been done and the quality and/or accuracy of that data at this time is not assured.
When a Dual Polarization setup is used, separate spectra are obtained for the cross-correlated parallel hands (XX and YY). These will give two independent estimates of the source spectrum that can be combined to improve sensitivity.
In Single Polarization mode, only a single input polarization (XX) is recorded. For a given resolution, this results in reduced sensitivity (by a factor of √2) compared with the Dual Polarization case, but one can use either a factor of two more bandwidth for the same spectral resolution (unless the maximum bandwidth was already being used) or a factor of two better spectral resolution for the same bandwidth.
For single-pointing polarization observations, targets must have a user-specified largest angular structure less than 1/3 of the primary beam for linear polarization, and less than 1/10 of the beam for circular. The expected minimum detectable degree of linear polarization, defined as three times the systematic calibration uncertainty, is 0.1% of the peak Stokes I (i.e., total unpolarized) flux for on-axis sources for both TDM and FDM observations within 1/3 of the primary beam. This limit does not depend on the source size (i.e., compact or extended). The minimum detectable degree of circular polarization is 1.8% of the peak Stokes I flux for both TDM and FDM observations within 1/10 of the primary beam. Note that the systematic calibration uncertainty can degrade by a factor of ∼ 2 depending on the quality of the polarization calibrator and observation conditions (see Chapter 8 of the Technical Handbook for more details). The frequency settings for single-pointing continuum polarization measurements can be specified by the user, but the ALMA OT supplies default setups as detailed in Table A-6. For FDM mode, polarization observations at any frequency setting within Bands 1 through 7 are allowed, but the spectral setup has to be the same for the polarization calibrator and the science target.
| Band | spw1 | spw2 | LO1 | spw3 | spw4 | Maximum Velocity Resolution |
| Band | (GHz) | (GHz) | (GHz) | (GHz) | (GHz) | (km/s) |
| 1 | 37.188 | 39.125 | 32.1255 | 41.188 | 43.188 | 15.673 |
| 2 | 78.7 | 84.7 | 89.7 | 94.7 | 100.7 | 6.722 |
| 3 | 90.5 | 92.5 | 97.5 | 102.5 | 104.5 | 6.477 |
| 4 | 138.0 | 140.0 | 145.0 | 150.0 | 152.0 | 4.453 |
| 5 | 196.0 | 198.0 | 203.0 | 208.0 | 210.0 | 3.223 |
| 6 | 224.0 | 226.0 | 233.0 | 240.0 | 242.0 | 2.797 |
| 7 | 336.5 | 338.5 | 343.5 | 348.5 | 350.5 | 1.931 |
Table A-6: Default Frequencies for Continuum Polarization Observations. Fixed central frequencies for four TDM spectral windows, each of width 1.875 GHz, and the corresponding LO1 setting. Frequencies were chosen to optimize spectral performance, and they are centered in known low noise and low instrumental polarization tunings of the receivers. The last column shows the maximum allowed spectral resolution for mosaics in full polarization, corresponding to a spectral resolution of 2.258 MHz in each Band. This table assumes that each baseband is populated with a single spw centered on the baseband frequency.
Mosaics are supported for linear polarization continuum maps using the 12-m Array for Bands 1 and 3 through 7 (this capability is yet to be commissioned with Band 2) but not yet for the stand-alone 7-m Array. The spectral setup for polarization mosaics is limited to the current default continuum frequency setups. Therefore, the PI will not be able to choose the frequency tuning of a given spectral window freely for a polarization mosaic. The PI can, however, choose between the TDM and FDM modes, but with a restricted frequency resolution when the FDM mode is chosen. This scheme has been implemented to allow for better continuum identification when mapping some sources of interest. The maximum spectral resolution that can be selected for FDM polarization mosaicking is 2.258 MHz, and the corresponding velocities for each band are shown in Table A-6.
For linear polarization mosaics, the 150-pointing restriction per SG remains in place. The mosaic pattern can be arbitrary, but ALMA recommends a hexagonal grid when possible. While Nyquist sampling (half a beam overlap) is sufficient, a sampling sparser than Nyquist (i.e., a more “loosely packed” mosaic) must be justified. A proposal requesting a mosaic sampling rate sparser than Nyquist may be rejected on technical grounds. The average error estimates for linear polarization mosaics are 1 degree in polarization position angle, and 0.1% in polarization fraction in the regions of the mosaic that correspond to the inner 1/3 FWHM of a given pointing. Near the FWHM of a given pointing, the estimated upper limits are 4 degrees and 0.5% (see Chapter 8 of the Technical Handbook for details).
A.8 Source restrictions
Source positions are designated by: 1) fixed RA and Declination (DEC); 2) RA and DEC at epoch 2000.0 with a linear proper motion; or 3) an ephemeris that gives the RA and DEC as a function of time. All positions should be in the International Celestial Reference System (ICRS) (J2000). Source names that are composed of only numbers (e.g., “7462356”) are not allowed and the ALMA OT will issue a validation error if such a source name is entered.
At low elevations, it is possible for foreground array elements to block or “shadow” the signal received by background antennas, compromising the sensitivity and imaging characteristics of an observation (see Section 7.3 of the Technical Handbook for details). Therefore, observations of extremely high and low declination targets should be avoided, particularly in compact configurations. For the 12-m Array, this shadowing becomes significant (> 5%) in the most compact configuration for sources with declinations lower than −65∘ or higher than +20∘. For the ACA, shadowing becomes significant for sources with declinations lower than −70∘ or higher than +25∘. The adopted upper declination limit for ALMA is +47∘, corresponding to a maximum elevation of 20∘ at the ALMA site. The ALMA OT gives a warning for objects from +37 through +47∘ declination, corresponding to transits between 20 and 30-degrees elevation. The ALMA Sensitivity Calculator takes shadowing into account when determining time estimates.
A.8.1 Source Science Goal restrictions
A single SG is constrained to include one set of observational parameters that apply to all sources included in that goal. This includes AR (either a single value or a range), sensitivity, LAS, and receiver band. There is no restriction on the number of SGs per proposal.
For sources distributed widely in the sky, the SG will be split by the ALMA OT into different “clusters”, grouping sources within band-dependent separations. The total number of pointings per SG must be no more than 150. Pointings with the ACA, if used in concert with 12-m Array observations, do not count against this 150-pointing limit.
The sources in an SG are further subjected to the following restrictions:
-
All the sources in an SG must be defined by the same field setup – either all as rectangular fields, or all as individual positions.
-
Sources must use the same spectral setup (relative placement and properties of spectral windows).
-
For a given group of sources clustered within 10 degrees on the sky (or 1 degree for long-baseline configurations), there cannot be more than 5 separate tunings.
A.8.2 Rectangular field
A rectangular field (also referred to as a mosaic) is specified by a field center, the length, width and orientation of the field, and a single spacing between the pointing centers. The ALMA OT will set up a uniform mosaic pattern based on a user-specified pointing separation, and will calculate the time to reach the required sensitivity considering any overlap. Non-Nyquist spatial samplings are allowed but must be justified in the TJ. Observations are conducted using the “mosaic” observing mode. This mode repeatedly cycles through all the pointings in the mosaic so that the imaging characteristics across the map are similar.
If ACA observations are requested as part of a mosaic, then a corresponding 7-m Array mosaic will also be observed. If these include TP observations, the mosaic area(s) will be covered by the TP Array using on-the-fly mapping.
An SG may include multiple sources, each of which can have a differently sized rectangular field. The collection of mosaics is subject to the source SG restrictions given above.
A.8.3 Individual pointings
PIs may choose to define a “custom mosaic” by specifying a set of individual, overlapping, pointing positions. Gaps in pointings are not allowed. Custom mosaics are subject to all the source SG restrictions given above.
The interferometric data will be combined in post-processing to produce a single image. If ACA observations are requested as part of a 12-m Array SG, then the corresponding 7-m Array observations will be obtained using a Nyquist-sampled mosaic pattern that covers the 12-m Array pointings. If these include TP observations, the mosaic area(s) will be covered by the TP Array using on-the-fly mapping.
Pointings that do not overlap within a given SG must be included as different field sources within the SG.
A.9 Calibration
The ALMA Observatory has adopted a set of strategies to achieve good calibration of the data (see Chapter 10 of the Technical Handbook). Requests for changes in these strategies will only be granted in exceptional circumstances and must be fully justified. The default option is automatic calibrator selection by the system at observing time, but some flexibility exists in choosing the actual calibrator sources in the ALMA OT. User-selected calibrators must be justified as they may result in decreased observing efficiency and/or calibration accuracy.
A.9.1 Imaging dynamic range
The regular ALMA interferometric data reduction (including only phase referencing calibration) with nominal phase stability should be sufficient to produce images with Imaging Dynamic Range (IDR), i.e., peak continuum flux to map RMS, up to ∼ 100 for the ACA and for compact 12-m Array configurations. For observations in configurations more extended than 2 km and with Bands 8–10, the IDR may be closer to 50. The IDRs can increase by making use of self-calibration. If the target is bright enough to compute phasing solutions within 6 seconds (the usual shortest integration unit of ALMA spectral data) one may be able to achieve IDRs of 1000–6000 under nominal conditions with the use of self-calibration. If these high IDR levels are required for the scientific goals, a justification must be provided in the OT describing how they are expected to be obtained. One important consideration is whether the target is expected to enable antenna-based solutions with a significance of > 3×RMS within 6 seconds (See Section 10.5.1 of the Technical Handbook). For more information please see the Knowledgebase article “What is meant by imaging dynamic range?”.
A.9.2 Absolute flux accuracy
Absolute amplitude calibration will be based on observations of objects of known flux density, including eight Solar System objects and a set of 40 quasars whose flux densities are monitored every 15 days (3–5 days in Band 3 for frequently used flux calibrators). It is expected that these calibrators provide an absolute flux accuracy better than 5% for Bands 1 through 5; 10% for Bands 6, 7 and 8; and 20% for Bands 9 and 10. The decrease in accuracy at the higher frequencies is caused by variable atmospheric opacity, pointing errors, and coherence loss due to uncorrectable short term phase fluctuations in the atmosphere that may affect the flux calibrator.
A.9.3 Spectral Dynamic Range
The amplitude and phase shape of the spectral response for each antenna in the array is measured by observing a bandpass calibrator (a bright source, usually a quasar) for the time needed to reach the desired spectral sensitivity for the relevant spectral resolution. The accuracy of this shape particularly affects projects that intend to observe spectral features that cover a significant fraction of a spectral window, and/or study faint spectral features in the presence of strong continuum. A spectral dynamic range (i.e., the desired signal-to-noise ratio per spectral resolution element) of 1000 has been demonstrated for Bands 3, 4, and 6, and a spectral dynamic range of 400, 250, 170, and 150 has been demonstrated for Bands 7, 8, 9, and 10, respectively. For Band 5, a limit similar to Band 6 may be assumed, except for setups near the 183 GHz atmospheric absorption line. For Band 1, the spectral dynamic range cannot be guaranteed to exceed ∼ 100 on frequency scales below a few tens of MHz because of bandpass ripples that are not fully corrected by the current calibration strategy. Please see the “Why do I see a ripple in my band 1 data?” Knowledgebase Article for more details. For Band 2, commissioning tests have shown spectral dynamic range up to 700, limited by S/N. However, bandpass ripple similar to Band 1 exists at a level of approximately 2–3 times lower than Band 1, so the recommended limit remains to be refined. For Cycle 13, the same criteria as for Band 3 are applied in the OT for Band 2, but caution is recommended if proposing for spectral dynamic range greater than a few hundred on frequency scales of tens of MHz. The achieved spectral dynamic range will depend on the brightness of the bandpass calibrator, the observing frequency, and spectral resolution (see Section 10.4.6 of the Technical Handbook for details). Proposals that request higher accuracy need to provide a feasible calibration strategy in the TJ or the proposal may be rejected on technical grounds.
A.9.4 Total Power calibration
The intensity calibration for single-dish observations with the TP Array is made by using the Amplitude Calibration Device (ACD), which results in an intensity scale in terms of the corrected Rayleigh-Jeans antenna temperature TA* (in units of Kelvin). To combine the TP data with the interferometric data, the intensity scale is converted from K to Jy. The conversion factor is a function of the observed frequency, half-power beam width, and aperture efficiency of the TP Array antennas. The latter two are derived from regular single-dish calibration observations. The overall accuracy for the total power calibration is about 5% at Bands 3 through 7, increasing to 15% at Band 8. Should the PI wish to provide a suggestion for reference/OFF position for TP observations, the PI should inform the CS during Phase 2 via the project ticket in the ALMA Helpdesk (see Section 6.1). PIs should make clear which OFF position should be associated with which target, the reason each OFF position is being suggested, and justification for its suitability. Suggested OFF positions should be known to be free from emission to ensure good calibration. OFF positions suggested by PIs may be checked by the JAO; this may delay submission of associated TP SBs to the observing queue. Please note that PIs are encouraged to submit OFF positions but this is not required.
Unless the PI specifies OFF positions, the following criteria will be used for searching OFF positions by ALMA, depending on the science target and observing band:
-
For extragalactic objects in all bands: the OFF position is an offset of 10 arcminutes in azimuth from the target.
-
For Galactic objects in Bands 3–6: the OFF position is a fixed position from the ALMA Calibrator Source Catalogue within 5 degrees of the science target.
-
For Galactic objects in Bands 7 and 8: the OFF position is a fixed position from the ALMA Calibrator Source Catalogue within 3 degrees of the science target.
-
For Solar System Objects (SSOs) in all bands: the OFF position is an offset in azimuth based on the ephemeris of the SSO. It is also set to avoid falling on any other SSOs. For example, the typical OFF position for Jupiter is 15 arcminutes in azimuth away from Jupiter to avoid Galilean moons.
Please note that it is necessary to select as Options: Catalogues: ‘ALMA_TP_OFF’, and Type: ‘TP off position’ while searching OFF positions in the ALMA Calibrator Source Catalogue.
A.9.5 Astrometry
The absolute positional registration of an ALMA image on the sky depends on the angular resolution and the quality of the phase calibration. With a stable atmosphere, a calibrator-target separation of less than about four degrees, and a signal-to-noise ratio of the target image >20, the nominal accuracy of the absolute position measurement (standard deviation) is at best ∼ 5% of the synthesized beam for angular resolutions larger than about 150 mas. At higher angular resolutions, the best absolute astrometric accuracy decreases to ∼ 10% of the synthesized beam. If the astrometric goals are within these ranges, then the observing schedule, observations, and data reduction will be similar to a standard imaging proposal. This option appears explicitly in the ALMA OT as a button labeled “Standard positional accuracy (default)” (see “a” below) in the “Astrometry” panel in the Calibration Setup editor.
The “Enhanced positional accuracy” option (“b” below), meanwhile, applies to astrometric projects in which the main scientific goals include measuring the celestial position of the science target to better than the nominal expectation, or measuring the position change of a target over a period of hours to years in a multi-epoch experiment.
To reach the desired astrometric accuracy, the optimum choices of the observing frequency, configuration, and time on target will depend on the properties of the target (spectrum, angular size, brightness) and should be chosen by the PI (see “a” below). Proposers of astrometric-type projects with the science goal of measuring a source’s position are also encouraged to seek help via the ALMA Helpdesk.
In the ALMA OT, the editor panel referring to the positional accuracy can be found in the Calibration Setup editor. The default “Standard positional accuracy (default)” option provides the same default calibration strategy as in previous cycles.
a) Standard positional accuracy (default): The choice of observing frequencies and configurations will depend on the science goal and source properties (for more details, see Chapter 10 of the Technical Handbook). Many previous astrometric programs requiring high precision have used Bands 6 or 7 with configurations similar to C-4 to C-7, since these combinations commonly provide good phase stability and are less constrained by weather conditions than higher frequencies and longer baselines. Note that increasing the S/N of the image peak intensity above 20 will not improve the absolute astrometric accuracy. For lower values (<20), consider the equation in the Astrometry section of Chapter 10 of the Technical Handbook, but a minimum S/N of 15 is recommended.
b) Enhanced positional accuracy: An astrometric proposal should select the “enhanced” option in the Calibration Setup if (1) significantly better than nominal astrometric accuracy is needed, or (2) multi-epoch observations over weeks or months are requested (i.e., using different 12-m Array configurations). In these cases, the PI should contact ALMA staff through the ALMA Helpdesk. The reason for selecting the “enhanced” option must be justified in the TJ (see Appendix B.4).
For Cycle 13, the PI should contact ALMA staff via the ALMA Helpdesk concerning the possible choices of phase calibrators and the choices of configurations and observation dates for longer-term multi-epoch observations. PIs may use the “User-defined calibration” option to request the use of multiple or specific calibrators. Nevertheless, while doing so, the PI is requested to select the “Enhanced positional accuracy” and, again, to double check the strategy with ALMA staff via the ALMA Helpdesk. The proposed strategy must be described in the TJ.
A.9.6 Phase calibrator search in Bands 7 through 10
To ensure accurate phase calibration and successful imaging in Bands 7 through 10 the phase calibrator must be located suitably close to the science target and must be observed frequently enough to correct for the variable atmospheric phase fluctuations. To achieve the former, the phase calibrator must be within the separation angles listed in Table A-7. In order to achieve the latter, the phase calibrator is typically visited more regularly than for lower frequency observations (see Section 10.5.5 of the Technical Handbook for details).
| ACA | C-1 & C-2 | C-3 & C-4 | C-5 & C-6 | C-7 | C-8 | C-9 | C-10 | |
| Band 7 | 15 degrees | 12 degrees | 11 degrees | 10 degrees | 7 degrees | 6 degrees | 5 degrees | 5 degrees |
| Band 8 | 15 degrees | 9 degrees | 9 degrees | 8 degrees | 7 degrees | 5 degrees | 5 degrees | 4 degrees |
| Band 9 | 10 degrees | 9 degrees | 8 degrees | 7 degrees | 6 degrees | 4 degrees | 4 degrees | 3 degrees |
| Band 10 | 8 degrees | 8 degrees | 7 degrees | 6 degrees | 5 degrees | 3 degrees | 3 degrees | 2 degrees |
Table A-7: Maximum separation angle between phase calibrator and science target.
For any observations in Bands 7 through 10, the ALMA OT checks whether a suitable phase calibrator exists within the specified separations on the sky from the science target as given in Table A-7, by searching the online ALMA Calibrator Source Catalogue. This happens automatically during proposal validation and submission. The default spectral setup for the phase calibrator is the same as for the target source initially. If the ALMA OT cannot find a suitable phase calibrator within the allowable separation on the sky and if the total bandwidth of the spectral setup is narrower than 937.5 MHz, the ALMA OT then searches for a phase calibrator by widening the aggregate bandwidth of the phase calibrator (Bandwidth Switching (BWSW)). If the ALMA OT still cannot find a suitable phase calibrator, it automatically switches the phase calibrator’s spectral setup to a lower frequency band (B2B mode, see details below) to search for a stronger phase calibrator. No input is required from the PI when this occurs. Proposals with targets that do not have a suitable phase calibrator found by the ALMA OT will trigger a validation error and such proposals cannot be submitted. This is most likely for Bands 9 and 10 in configurations C-8 through C-10.
B2B phase calibration
B2B mode uses a phase calibrator observed at a lower frequency as compared with the science target frequency. Because phase calibrators are brighter at lower frequencies, B2B calibration increases the chances that a suitable phase calibrator can be found close enough to a science target for accurate phase transfer. In addition to the phase calibrator being observed at a lower frequency, there is an added short bandpass observation at the low-frequency and an additional strong calibrator – the Differential Gain Calibration (DGC) source – which is observed at both frequencies to facilitate the calibration of the gain offsets between the high (science) and low (reference) frequencies. The band pairings are listed in Table 10.1 of the Technical Handbook. Note that there are two types of B2B mode, the harmonic and non-harmonic types, which allow the full coverage of Bands 7 through 10 when B2B is triggered. The former type allows frequency switching within ∼3 s, while the latter takes ∼20 s and has a lower overall efficiency. The type of B2B used depends primarily on the frequency of the science target tuning and is selected automatically by the ALMA OT. Further details can be found in Section 10.5.3 of the Technical Handbook.
A.10 Time-constrained observations
Monitoring observations and time-constrained projects are offered subject to the following restrictions:
-
Observations to be performed with two 12-m Array configurations to satisfy the PI requests of AR and LAS within an SG are not allowed to have time constraints.
-
Observations with one 12-m Array configuration and the ACA are allowed to have time constraints only if simultaneous observations with the two arrays have been requested.
-
Stand-alone ACA proposals requesting only observations on the 7-m Array are allowed to have time constraints.
-
The time windows specified in the OT are the range within which observations can be started. PIs should be aware that the first science target scans will occur some time after the observations start, due to the initial calibration scans. The final science target scans can occur as late as the time window end time plus the per-execution length. An estimate of the per-execution length can be obtained from the “Planning and Time Estimate” in the OT’s “Control and Performance” panel. Note that the actual execution time may differ from the OT’s estimate. If time windows are tight and precision of less than 1 hour is required, PIs of accepted programs are advised to work with their assigned CS to obtain execution time estimates from more detailed scheduling block simulations.
-
No restrictions will be imposed on the size of the time window specified by PIs for time-critical observations. The observatory assigns high priority to time-critical observations within the specified time windows. However, the scheduling feasibility of any proposal will depend on the total number of constraints that are imposed and on whether the time window takes place during other activities on the array such as engineering or computing time. Whether such observations are technically feasible will be decided on a case-by-case basis. In particular, observations with strict timing constraints but many possible time windows may be feasible. At the time of proposal submission, PIs should define in the OT all time windows that would satisfy the scientific needs of the project.
-
Programs that require more than two hours of continuous observations to monitor a source cannot be guaranteed due to variable weather conditions and system interruptions. Proposers may request monitoring observations longer than two hours, but if the observations fail after two hours, the observations will not be repeated. Monitoring observations will be interrupted by regular calibrations. Investigators should contact their ARC through the ALMA Helpdesk for support on such observations.
-
Programs that require simultaneous and/or contemporaneous observations with other observatories cannot be guaranteed, due to variable weather and technical constraints. Such observations include, but are not limited to, Joint, ToO, and Solar proposals. The PI is responsible for coordinating with the other observatories and must declare the need for coordinated observations in the scientific justification of their proposal. PIs must also declare the need for coordinated observations in their Phase 2 project Helpdesk ticket as soon as possible after the ticket is generated. The planning for scheduling of coordinated ALMA observations should be initiated by the PI as soon as the time constraints are known, or well in advance of the triggered observation in the case of ToOs. The JAO will provide information regarding scheduling feasibility including technical constraints and weather forecast before the observations to enable the coordination by the PI with other observatories.
-
The following times are typically assigned to the technical maintenance work essential for the continuation of science observations: Monday and Friday from 09:00 to 16:00 local (Chilean) time; Wednesday and Saturday from 13:00 to 18:00 local (Chilean) time. With advanced planning these times may be used for scientific observations. PIs are encouraged to work with their Contact Scientist via the ALMA Helpdesk to coordinate their observations or triggers.
A.11 Solar observations
Proposals will be accepted for ALMA interferometric and Total Power observations of the Sun with the following capabilities and restrictions:
-
Solar observations will be conducted only during the periods when the 12-m Array is in one of the allowed configurations for the requested band, namely C-1 to C-4 for Band 3, C-1 to C-3 for Band 5, C-1 to C-3 for Band 6, and C-1 to C-2 for Band 7 (see configuration schedule in Table 3).
-
The interferometric component of solar observations will be conducted using a special combined array comprising both 12-m and 7-m antennas (to ensure sufficient short-spacing information is observed), except for solar polarization observations, which will only be observed using the 12-m Array. Observations will be processed with the 64-input Correlator (Section 5.1 of the Technical Handbook). Observations with only the 7-m Array are not offered. Observations using only the 12-m Array will only be offered for Band 3 polarization observations.
-
Observations will be carried out between 10:00 and 17:00 Chile Standard Time (CLT) (13:00 and 20:00 UTC) when antenna elevations are above 40 degrees, to minimize shadowing of 7-m antennas. This limitation will also be applied to solar polarization observations.
-
PIs may designate a desired range of angular resolutions. However, the available range is restricted to the range provided by the 12-m configurations allowed for Bands 3, 5, 6, and 7, as described above.
-
The Total Power component of solar observations consists of fast-scanning mapping observations to recover the largest angular scales for interferometric observations. Proposals requesting only Total Power single-dish observations will not be accepted. The Total Power observations will be taken contemporaneously with the interferometric observation. These observations will not be executed when the Sun is at elevations above 70 degrees because the required fast-scan azimuth slew speeds are too high.
-
There are two options for the field of view of the Total Power solar observations. One is covering the full solar disk. Its shape and size of the field of view is a circle with 2400 arcseconds diameter. The time cadence of full-Sun images is about 10, 13, 15, and 25 minutes for Bands 3, 5, 6, and 7, respectively. The other option is a small field of view around a region of interest, called Fast Regional Mapping (FRM). The shape of a field of view is a circle, the same as the full-Sun scan, but the diameter of the circle can be changed by PI. The center coordinate of the field of view is fixed by the ephemeris used for the interferometric observation. When a science goal has multiple fields, FRM cannot be chosen for the science goal. The time cadence of solar images obtained with FRM depends on the receiver band and the diameter of the field of view. Table A-8 shows examples of the time cadence for several combinations of observing band and field of view.
| FOV Diameter | Band 3 | Band 5 and Band 6 | Band 7 |
|---|---|---|---|
| 100 arcsec | n/a1 | 11 sec | 14 sec |
| 200 arcsec | 13 sec | 21 sec | 27 sec |
| 300 arcsec | 19 sec | 32 sec | 40 sec |
Table A-8: Time cadence of images obtained with solar FRM.1 100″ is comparable to the size of the Band 3 primary beam (60″). Hence, such a field of view is not suitable for FRM.
-
In order to flux calibrate solar images obtained with FRM, it is assumed that the field of view includes a quiet region and that the brightness during the observation does not vary significantly. Hence, PIs should carefully select the FRM field of view, considering these assumptions, and may wish to justify their choice in the proposal. When there is no quiet region in the field of view the precision of the flux calibration may be compromised and QA2 may fail, but the observation will not be repeated.
-
Proposers will specify their solar target by providing a target position in Heliocentric coordinates. The ALMA Observatory will coordinate with successful PIs to get an updated target position at least 24 hours in advance of the proposed observation. The interaction will be done via the ALMA Helpdesk. The ALMA Solar Ephemeris Generator tool is available for PIs to help them generate the ephemeris.
-
Only proposals for continuum observations in Bands 3, 5, 6 and 7 will be accepted. For interferometric observations, these will be obtained using the low spectral resolution (TDM) mode (see Appendix A.6.1). The individual integration times for this mode are fixed to 1 second, and the frequencies are fixed to four 1875 MHz-wide spectral windows centered on the frequencies shown in Table A-9. The high spectral resolution (FDM) observing mode is not offered for solar observations.
-
The observing frequencies of the Total Power observations are as shown in Table A-9, but the Total Power data only include one channel per spw; a correlator will not be used for Total Power observations so autocorrelation measurements will not be available.
| Band | spw1 | spw2 | LO1 | spw3 | spw4 |
| (GHz) | (GHz) | (GHz) | (GHz) | (GHz) | |
| 3 | 93.0 | 95.0 | 100.0 | 105.0 | 107.0 |
| 5 | 191.0 | 193.0 | 198.0 | 203.0 | 205.0 |
| 6 | 230.0 | 232.0 | 239.0 | 246.0 | 248.0 |
| 7 | 339.6 | 341.6 | 346.6 | 351.6 | 353.6 |
Table A-9: Observing Frequencies for Cycle 13 Solar Observations. This table assumes that each baseband is populated with a single spw centered on the baseband frequency.
-
Simultaneous observations with Bands 3, 5, 6 and 7 are not offered; each SG can only include one band.
-
Observations may be performed using dual linear polarization (XX, YY) or single polarization (XX) correlations in Bands 3, 5, 6, and 7. Full polarization measurements (XX, YY, XY, YX) are offered only in Band 3 with the 12-m Array. The 7-m antennas are not available for full-polarization observations.
-
While TP Array observations will be carried out simultaneously with the interferometric observations, TP Array observation will be performed using dual linear polarization (XX, YY), even in the case of full polarization 12-m observations.
-
For polarization observations, we recommend multi-pointing observations with small spacing (e.g., using the mosaic observing mode) for use in evaluating the effect of beam squint in Stokes-V maps, even if the PI only needs the field of view obtained with a single-pointing. However, the accuracy of polarization maps imaged as a mosaic with a wide field of view is not guaranteed by the ALMA Observatory. Therefore, the full-Stokes images for each pointing will be provided as separate QA2 products.
-
Because the WVR receivers are saturated when the antennas point at the Sun, WVR corrections for on-source (solar) data are not possible (see Section 8.10.2 of the Technical Handbook).
-
Absolute calibration of single-dish brightness temperatures is currently no better than ∼10% but is more realistically ∼15%. While efforts are on-going to improve solar calibration, SGs that require absolute temperatures more accurate than this, and in particular comparisons of absolute temperatures between Bands 3, 5, 6 and 7, will be difficult to carry out successfully.
-
The following timeline should be taken into consideration when triggering Solar observations:
-
PIs should bear in mind possible conflicts with engineering and computing work at ALMA (see Appendix A.10 for the nominal schedule). The high-level weekly plan for ALMA is typically set on Tuesdays, and, with advance planning, scientific observations can be conducted during computing and engineering time blocks. PIs should not be discouraged from triggering observations during these time windows and are encouraged to work with their Contact Scientist via the ALMA Helpdesk to coordinate their observations/triggers.
-
If the ALMA observations are intended to be carried out simultaneously with observations at another facility, it is recommended that PIs trigger the ALMA observations at least one week in advance. This will allow ALMA to coordinate array availability between science, engineering and computing (Appendix A.10).
-
The final ephemeris and position angle (in the case of mosaics) should be sent to ALMA via the trigger ticket 24 to 72 hours prior to the observations. Any changes to the ephemeris or position angle within the 24 hours immediately proceeding an observation will be implemented on a best-effort basis.
-
Any changes to the shape of a mosaic should be submitted more than 24 hours in advance of expected observations. Any changes must maintain the same number of pointings.
-
If the target becomes absent or unsuitable for observation, PIs may cancel the observations any time before 11:00 UTC of the day of observation. This communication should happen via the trigger ticket. The PI can provide a new ephemeris and new expected date of observation.
-
A.12 VLBI observations
Proposals will be accepted for VLBI observations that include ALMA as a phased array, with the following capabilities and restrictions:
-
VLBI observations will be conducted in “campaign mode”, whereby specific dates are reserved for the execution of VLBI programs in coordination with the other facilities in the VLBI network. This ensures that VLBI experts are available to help with program execution. To maximize phasing quality, observing campaign windows are typically selected during the periods when the 12-m Array is in a relatively compact configuration (with significant numbers of baselines ≤ 500 m; see configuration schedule in Table 3). The GMVA and EHT observing dates are anticipated to be in the March–May 2027 time frame.
-
Standard VLBI observations perform phase-up of the array directly on the science target. This mode is known as active phasing. To ensure an adequate S/N for the phase-solving algorithm actively phased continuum targets must have a correlated flux density on intra-ALMA baselines ( < 1 km baselines) of ≥ 0.13 Jy (Band 1), ≥ 0.18 Jy (Bands 3 and 6), or ≥ 0.27 Jy (Band 7). For spectral line (emission line) targets, array phase-up may be achieved using the line emission itself, provided that it is sufficiently bright. As a guideline, active phasing is appropriate for spectral line targets whose peak line flux Flim,line(𝝂) meets the following criterion:

where Wl is the linewidth (in MHz) of the spectral line peak and Flim,line(𝝂) is assumed to be, respectively, 0.13 Jy (Band 1), 0.18 Jy (Bands 3 and 6), or 0.27 Jy (Band 7). See Appendix B.6.1 and Table B-1 for details on setting up active phasing in the ALMA OT.
-
VLBI observations of faint science targets (i.e., with correlated flux densities less than the minimum requirements for active phasing given above) require the use of passive phasing. Passive phasing may be used for weak continuum sources, as well as for targets with spectral lines that are weak, broad, and/or that are seen in absorption. To perform array phase-up in passive mode, the user must select a suitable phasing calibrator (‘phasor’), ideally within an angular separation of ∼10 degrees (Band 1); ∼6 degrees (Band 3), or ∼3 degrees (Bands 6 and 7), respectively. Typical passive phasing observing sequences will consist of a short (∼1–3 min) VLBI scan on the phasor, immediately followed by a longer scan on the science target itself (up to ∼5 min). Minimum flux density thresholds for the phasor depend on the observing band and are identical to those for standard active phasing observations, as described above. The user-defined calibrator interface is enforced for passive phasing and the default dynamic phase calibrator should be replaced with the selected phasor as a fixed calibrator (see Appendix B.6.1). The choice of calibrator should be justified in the TJ. See Appendix B.6.1 and Table B-1 for details on setting up passive phasing in the ALMA OT.
-
VLBI proposals for continuum mode observations will only be accepted for Bands 1, 3, 6, and 7. These observations will be obtained in full polarization using the widest bandwidth FDM configuration of 64-input Correlator (see Appendix A.6.1). The default observing frequencies for the band centers of the four 1875 MHz-wide spectral windows are given in Table A-10. Observers may optionally change these default frequencies. However, users must ensure that frequency selections are compatible with the tuning restrictions of other peer VLBI observing sites that are expected to participate in the observation. Prospective observers who are uncertain about the tuning restrictions of proposed GMVA or EHT partner sites should contact the ALMA Helpdesk well in advance of the proposal deadline. In addition, the bandwidth of each ALMA baseband is fixed at 1875 MHz (the maximum available) and use of full polarization mode is required. For Bands 1 and 3, only a single baseband (the one including spw1) will be recorded owing to recording rate restrictions at many of the GMVA partner sites. For Bands 6 and 7, all four basebands will be recorded.
| Band | spw1 | spw2 | LO1 | spw3 | spw4 |
| (GHz) | (GHz) | (GHz) | (GHz) | (GHz) | |
| 1 | 43.168 | 41.168 | 35.145 | 45.168 | 47.124 |
| 3 | 86.268 | 88.268 | 93.268 | 98.328 | 100.268 |
| 6 | 213.1 | 215.1 | 222.1 | 227.1 | 229.1 |
| 7 | 335.6 | 337.5414 | 342.6 | 347.6 | 349.6 |
Table A-10: Default observing frequencies for Cycle 13 VLBI Observations. This table assumes that each baseband is populated with a single spw centered on the baseband frequency.
-
Spectral line VLBI observations are offered in Bands 1, 3, 6, and 7. For Bands 1 and 3, only a single baseband (the one including spw1) will be recorded for VLBI in spectral line experiments (see “Spectral line” in Appendix B.6 for additional details). For Bands 6 and 7, up to four basebands will be recorded. The central frequency of each VLBI baseband may be flexibly tuned, but selection of the ALMA FDM correlator mode with 1875 MHz bandwidth and full polarization is required, as it is the only ALMA 64-input correlator mode that is compatible with operation of ALMA’s VLBI backend. The proposer must also ensure that the adopted tuning can be matched at all participating observing sites. Observers with questions about the tuning restrictions of prospective partner sites should contact the ALMA Helpdesk. Any spectral windows not used for VLBI may be flexibly configured in the ALMA OT with different tunings or spectral resolutions, subject only to ALMA’s standard tuning restrictions.
-
Proposers are required to enter a VLBI total time requested. Here, they should enter the amount of time requested for ALMA (and not the total time requested to the GMVA/EHT networks, which may be longer). Note that this time must include overheads. For ALMA + GMVA or ALMA+EHT the total observing time (including overheads and ALMA calibrations) is a factor of four times the expected time on source (i.e., a 25% duty cycle). In cases where additional GMVA or EHT network time is requested beyond the nominal ALMA+GMVA or ALMA+EHT time request, the PI should explicitly note this in the TJ.
-
If multi-epoch observations are requested, they must fit within the contiguous ∼5 day ALMA+GMVA observing window or the two-week ALMA+EHT window, respectively, and the total time request must be the aggregate time of all observations.
-
GMVA and EHT sites record data on a circular polarization basis, while ALMA records linear polarization products. The total duration of the project (including overheads) must span a minimum of three hours to ensure that the parallactic angle coverage of the polarization calibrator is sufficient for accurate linear-to-circular polarization transformation of the ALMA VLBI data.
Several sensitivity calculators are available for planning GMVA or EHT proposals:
For 7 mm and 3 mm VLBI (both spectral line and continuum experiments), a proposal must have been submitted to the GMVA network by their 04 February 2026 deadline (see the GMVA website). For all 1.3 mm and 0.87 mm proposals, the JAO will forward the submitted proposals to the EHT network for technical assessment. Thus proposers do not need to send their proposal to the EHT directly. Technical assessment of GMVA proposals is also performed as part of the normal GMVA proposal review process.
A.13 Phased Array observations
The 12-m ALMA dishes may be used as a stand-alone phased array, where signals from individual antennas are summed after phase alignment (i.e., so that the array functions like a large single-dish telescope). Phased Array mode is available in Bands 1, 3, 6, and 7. As these are ALMA-only observations, the proposal should not be sent to the GMVA.
-
This mode is available by selecting the Phased Array proposal type. The proposal code will have the “.P” suffix.
-
The capabilities are similar to those currently available for continuum VLBI, i.e., a single source per SG with a maximum-bandwidth, pseudo-continuum spectral setup. The default spectral window frequencies for each band are the same as those for VLBI (Table A-10).
-
As for the standard VLBI continuum modes, VLBI recordings of the phased sum signal are made while the ALMA interferometric data are archived in parallel.
-
Since expected targets of this Phased Array mode, such as pulsars, are generally faint at mm wavelengths, use of passive phasing (see Appendix A.12) is enforced by the ALMA OT. The choice of a fixed phase calibrator (‘phasor’) will need to be made and justified (see Appendix B.6.1).
-
Typical passive phasing observing sequences will consist of a short (∼1–3 min) VLBI-type scan on the phasor (during which phasing solutions are computed and applied), immediately followed by a longer, VLBI-type scan on the science target itself, during which no phasing calculations are performed (up to ∼5 min, depending on the band).
-
The phased-array data from all four available basebands (derived from the VLBI recordings) will be made available to the PI in the FITS-based format for pulsar data files (PSRFITS).
-
Observations using this mode will be scheduled during the time periods assigned for VLBI. For Cycle 13 this is expected to be in March–May 2027.
-
As for VLBI proposals, the total array time required for each SG must be provided (see Appendix B.7). This should be set to a minimum of 3 hours to allow for robust polarization calibration. The requested array time should be justified in the box entitled “Phased Array Technical Justification including Post-Processing”.
-
Proposers should read Section 8.11.5 of the Technical Handbook and contact their ARC through the ALMA Helpdesk prior to proposal submission for additional assistance in planning observations. Data obtained in Phased Array mode are suitable for pulsar and transient searching, pulsar timing, or other pulsar science. It is encouraged to ask your ARC for assistance, especially if the science goals of the proposal are related to other scientific objectives.
B. Technical Justification guidelines
The TJ must be entered directly into the ALMA OT for each Science Goal. This appendix provides guidelines on the TJ and notes issues that the PI may need to address. Appendices B.5, B.6, and B.7 point to specific items that need justification for solar, VLBI, and Phased Array observations, respectively. In general, PIs should justify all the parameters requested in the ALMA OT.
B.1 Sensitivity
At the top of the sensitivity section, the ALMA OT will display the calculated sensitivity and S/N ratio achieved for different bandwidths (bandwidth requested for sensitivity, aggregate bandwidth, a third of the linewidth) as appropriate for the spectral setup and the defined Expected Source Properties. While the justification for the requested sensitivity or S/N ratio should be included in the Scientific Justification (Section 5.3.2), the TJ must explain which sensitivity or S/N ratio are expected for all the parts of the spectrum that are of interest, e.g., for a spectral setup targeting a weak and a strong spectral line as well as the continuum, and the means by which the proposed technical setup will achieve those requests.
The fluxes in the Expected Source Properties must be entered per synthesized beam; i.e., proposers may have to correct any available flux measurements for the fact that the requested source is spatially resolved by ALMA and the flux is distributed over several synthesized beams (see Knowledgebase articles “How can I estimate the Peak Flux Density per synthesized beam using flux measurements in Jy or K from other observatories?” and “How do I convert flux measurements given in Jy km/s or K km/s into the peak flux density required by the OT?” and this video for more details on using fluxes/brightness temperatures from other facilities).
Users should be aware that the sensitivity requested may not be achievable in practice if the observations are dynamic-range limited; e.g., when the field of view contains another, very bright, source or the spectrum has very bright lines. S/N values smaller than three trigger a blue informative message and need to be fully justified; they may lead to a rejection of the proposal on technical grounds if no adequate explanation is given. For setups including spectral lines, another value to double-check is the ratio of the linewidth (entered in the Expected Source Properties) over the bandwidth used for sensitivity (from the Control & Performance editor), which is conveniently displayed by the ALMA OT. It is important to understand that the sensitivity requested will be achieved over a frequency bin corresponding to this bandwidth, not necessarily over every spectral resolution element. For spectral-line measurements the S/N should normally be larger than three (or even higher if the scientific goals require measuring the shape of the line profile). An informative message will appear if this is not the case, and PIs should address this issue in the justification text (e.g., if the sensitivity requirement is driven by the continuum, it may be acceptable to have a very low ratio).
The final parameter to be checked for observations measuring both line and continuum emission is the spectral dynamic range, defined as the continuum peak flux divided by the spectral line RMS. Limits on the spectral dynamic ranges offered in Cycle 13 for the different ALMA bands are given in Appendix A.9.3; an informative message will appear in the ALMA OT if these are exceeded and the proposal may be rejected on technical grounds unless justified. The spectral dynamic range is important especially when trying to detect a weak line on top of a strong continuum, and high spectral dynamic ranges may require a better bandpass accuracy than possible with a standard calibration. If a high spectral dynamic range is required, extra bandpass calibrations may need to be obtained selecting “User-defined calibration”.
Please note that if a spectral window using a 4x4 bit mode is set as “Representative” in the ALMA OT, the sensitivity will increase by 12% with respect to the 2x2 bit mode with the same spectral resolution, and the required on-source time will be reduced accordingly.
B.2 Imaging
When planning ALMA observations, the complexity of the emission in the science target field should be considered, in addition to the sensitivity goals. In this section, proposers should justify their AR and MRS requests on the basis of the field’s complexity and their scientific goals. An interferometer’s ability to reconstruct complex emission is directly related to the uv-coverage of the data. The AR and MRS needed to image complex emission should be carefully justified (if necessary, using simulations), especially if multiple antenna configurations are required. Proposers should also consider the overall uv-coverage of their observations as this directly impacts image fidelity, particularly for snapshot observations (see Chapter 3 and Section 7.5 of the Technical Handbook). The number of required antenna configurations is listed in the observing time estimate of the project time summary in the ALMA OT.
The “snapshot” (i.e., short observation) uv-coverage is excellent for the compact ALMA 12-m Array configurations C-1 to C-3 and still reasonably good for C-4 to C-6, but for the longer baseline configurations, C-7 to C-10, it is quite sparse even with 50 antennas (see Section 7.5 of the Technical Handbook). Therefore, more observing time must be spent to “fill in” the missing uv-coverage, as much as possible. Thus, high fidelity imaging of complex and/or high dynamic range emission may require a longer observing time than implied by sensitivity requirements alone, and this is especially true for the long-baseline configurations. If more extensive uv-coverage is required to satisfy the imaging requirements than would be obtained in the time needed to reach the desired RMS, the ALMA OT’s sensitivity-based time estimate can be overridden (see below). PIs are strongly encouraged to use the ALMA simulator tools to assess the potential need for extra uv-coverage and to contact their ARC via the ALMA Helpdesk during proposal preparation to discuss the best strategy for achieving the necessary uv-coverage.
For single pointings with the 7-m Array, integrations of at least one hour are recommended to achieve good image quality. Ensuring sufficient uv-coverage for mosaics with the 7-m Array can be problematic because the integration time is spread out over many pointings; for this case, simulations that assume the minimum number of guaranteed antennas are strongly encouraged to help set the per-pointing integration time. See Section 7.7 of the Technical Handbook for more details.
For single or non-overlapping pointings, the source should fit within the inner one third of the primary beam (field of view), or the PI should discuss the effects of the sensitivity loss towards the beam edges.
PIs should also pay attention to the expected image dynamic range (see Appendix A.9.1) if attempting to detect a weak signal that falls in the same pointing as a much brighter source. The ALMA OT cannot identify such cases automatically since it has no knowledge of the flux structure of the field to be observed. See the Knowledgebase article “What is meant by imaging dynamic range?” for details.
Considerations for extracting positional information from an image are discussed in Appendix A.9.5.
B.3 Correlator configuration
For spectral-line observations, the ALMA OT reports the number of (Hanning smoothed) spectral resolution elements per linewidth, taking into account any spectral averaging, and the width of the representative spectral window. PIs have to make sure to select the correct representative spectral window. If the spectral resolution is larger than one third of the linewidth from the Expected Source Properties, an informative message will appear, and if not suitably justified this will lead to the rejection of the proposal on technical grounds. Note that the spectral resolution is not necessarily the same as the bandwidth for sensitivity.
The requested correlator setup and the placement of spectral windows should be carefully justified in the free-format text box. In the case of multiple spectral lines and/or narrow spectral windows in particular, PIs should double-check that the line profiles are fully covered by the selected spectral windows.
PIs should also check whether any of the spectral windows are severely impacted by atmospheric absorption, which can affect Bands 5 and 7 through 10 especially. If necessary, the representative frequency should be modified to be at the most restrictive part of the atmosphere where a line needs to be detected, thus impacting the time estimate. Any continuum windows should be moved to avoid areas of reduced transmission.
Selection of a 4x4 bit mode instead of a 2x2 bit mode will limit the bandwidth accessible to a given spectral window (when compared with the 2x2 bit mode). In cases where several spectral lines are expected to be included in the spectral window, the PI should clearly justify that they will all be included within the reduced bandwidth of the 4x4 bit mode.
For the double sideband receivers (Bands 9 and 10), the atmospheric transmission in the mirrored spectral window due to the 90-degree Walsh Switching (Appendix A.5) impacts the sensitivity achieved in the spectral window and therefore the time estimate. PIs may wish to modify the spectral setup accordingly.
The best practice for good calibration is to add continuum spectral windows in any unused basebands, in particular for high-frequency SGs. The Phase 2 Group can add these windows, if needed.
For sources with known high line density ( ∼ 1 spectral feature per 10 MHz), PIs are particularly encouraged to set up all the spectral windows in FDM mode. This will allow a more robust determination of the line-free channels used to form the aggregate continuum during data processing and imaging.
B.4 Choices to be justified
The ALMA OT will automatically catch a number of user choices that must be explicitly justified in a text box. These choices are:
-
Override of ALMA OT’s sensitivity-based time estimate: Proposers may wish to override the ALMA OT’s time estimate to monitor a source over a certain time range or to build up the uv-coverage for imaging a complex source. When using this option, proposers should keep in mind that programs that require more than two hours of continuous observations cannot be guaranteed due to variable weather conditions and system interruptions (Appendix A.10). The time entered refers to that of the largest array requested, includes all calibrations, and must be fully justified. Note that the ALMA OT assigns the PWV based on the representative frequency of the requested observations and the declination of the source to ensure data quality. Thus, it is not possible to request specific weather conditions for the observations.
-
Time-constrained observations: the ALMA OT allows you to specify two types of time-constrained observing: single visit and multiple visits. In the first case, one or more time windows are specified, but the observations will only be carried out once during any of these time windows. In the second case, the Science Goal is observed in each of the time windows specified. The technical feasibility of time-constrained observations will be decided on a case-by-case basis.
-
User-defined calibration: the default system-defined calibration option ensures that the proper calibrations for the flux scale, bandpass, and relative antenna gains are obtained. Observations making use of the full polarization capabilities of ALMA will also include the necessary calibrations by default. User-defined calibrations should be necessary only in rare cases, e.g., if a very high spectral dynamic range is required, it may be necessary to perform additional calibrations and/or use specific sources. Such requests must be explained and justified in detail. Programs that cannot be calibrated or that significantly increase the complexity of data reduction will not be allowed and will be flagged as technically infeasible and rejected.
-
Low maximum elevation: sources that transit at a low elevation are difficult to schedule for observation since they suffer from high atmospheric attenuation and require low PWV, especially at high frequencies (see Appendix A.8). A detailed explanation should be provided as to why these sources need to be observed rather than sources at higher elevation.
-
Single polarization: this should only be used when the highest spectral resolution is required, as the sensitivity achieved is lower than when using the default dual polarization. PIs should carefully justify why the high spectral resolution requested is required.
-
Sparser sampling than the default 𝝀 / √(3D) (Nyquist sampling) can be more effective at covering large areas more quickly, at the price of non-uniform spatial coverage and noise. Deviating from the default mosaic sampling must be justified scientifically, and is to be avoided when imaging extended sources, particularly if image fidelity is an important concern.
-
Enhanced positional accuracy: this option should be selected when an astrometric accuracy better than nominal is required (see Appendix A.9.5). In the corresponding TJ section, the PI must justify the need for the enhanced positional accuracy and give any further details that may have been advised by ALMA staff through the ALMA Helpdesk.
-
Note that if the PI wishes to provide reference/OFF positions for TP observations, it is suggested that such information is added and justified in the SG description (see Appendix A.9.4).
B.5 Solar observations
The sensitivity calculator is not adequate for solar observations because the antenna temperature greatly exceeds the system temperature and, moreover, depends on the solar target (e.g., quiet Sun, active region, solar limb). Therefore, solar proposers are asked to enter the total time and justify this request to the extent that depends on technical imaging considerations, not on scientific factors. For example, for a mosaic of a target in a given frequency band, PIs should indicate how many repetitions of the sampling pattern are needed and why. For this calculation PIs should take into account that ALMA observations are comprised of one or more executions of an SB. The total execution time of an SB cannot exceed 2 hours, which will include the time overheads for bandpass and flux calibration. These calibration overheads amount to about 25 minutes.
B.6 VLBI observations
B.6.1 Continuum
The VLBI TJ should be tuned to the overall science goals and should include a justification of the need for ALMA, the reasons for using the selected band (Bands 1, 3, 6, or 7), the flux density of the target on a 1 km baseline, expected correlated flux density on baselines longer than 5000 km, the total observing time requested (including time for calibration), and potential bandpass, polarization, and delay calibrators. If polarimetry is requested, the expected S/N for the polarized emission should be stated. If imaging is requested, imaging considerations should also be mentioned (e.g., dynamic range issues or complex source structure), along with any other special technical requirements. Finally, the proposer should specify the particular EHT or GMVA stations that are requested as part of the VLBI array.
The following online material is currently available to help justify the requested observing time:
-
At 3 mm: the sensitivity calculator and the 3 mm VLBI page.
-
At 1.3 mm: the 1 mm VLBI page.
Information is also available at those sites for planning 7 mm and 0.87 mm proposals.
VLBI observations with ALMA require specifying “active” or “passive” phasing in the OT according to the correlated flux densities on intra-ALMA baselines out to 1 km. To configure the OT, compare the expected flux of the target with the scenarios in Table B-1, and follow the appropriate procedure described below:
| Band | Scenario 1 | Scenario 2 | Scenario 3 |
|---|---|---|---|
| 1 | Fν ≥ 0.35 Jy | 0.35 Jy > Fν ≥ 0.13 Jy | 0.13 Jy > Fν |
| 3 | Fν ≥ 0.50 Jy | 0.50 Jy > Fν ≥ 0.18 Jy | 0.18 Jy > Fν |
| 6 | Fν ≥ 0.50 Jy | 0.50 Jy > Fν ≥ 0.18 Jy | 0.18 Jy > Fν |
| 7 | Fν ≥ 0.75 Jy | 0.75 Jy > Fν ≥ 0.27 Jy | 0.27 Jy > Fν |
Table B-1: Flux density thresholds for OT setup of “active” or “passsive” phasing for VLBI observations. See text for details.
-
Scenario 1: select “active phasing” in the OT.
-
Scenario 2: select “passive phasing” and set the phasor to be the same as the science target.
-
Scenario 3: select “passive phasing” and follow the guidance below for selecting a phasor.
Observations of VLBI targets with correlated flux densities on intra-ALMA baselines out to 1 km that are < 0.13 Jy (Band 1), < 0.18 Jy (Bands 3 or 6), or < 0.27 Jy (Band 7) require the use of “passive” array phasing. Passive phasing may also be used for certain types of spectral line experiments (see Appendix A.12). Passive phasing requires selection of a suitable phase calibrator (termed a “phasor”). The suitability of the selected phasor must be justified on the basis of its flux density, source structure, and proximity to the VLBI target. ALMA’s phasing algorithm currently assumes that the phasor is a point source located at the phase center. Therefore sources with complex structure on short baselines are typically not suitable for use as phasors. In addition, during each phasing scan the ALMA antennas must be slewed to place the phasor at the center of the field-of-view; the ability to apply phasing corrections derived from sources within the primary beam but offset from the phase center is not currently implemented.
There are two ways to search for a phasor candidate: directly from the ALMA OT or through an initial search on the web-based ALMA Calibrator Source Catalogue.
Searching for a phasor source in the ALMA OT
When proposing a Phased Array project or VLBI-mode observation of weak targets (as defined in Appendix A.12) the “User-defined calibration” option is triggered in the “Calibration Setup” editor. There, in the “Goal Calibrators” panel, one will see four calibration type entries. To select a phasor source, the PI should follow these steps:
-
Select the “Phase” entry and click on “Delete Selected Calibration”;
-
Click on “Add Fixed Calibrator”, select “Phase” in the pop-up window, and click “Create”;
-
Select “Sidereal Target” and click on “Select from Source Catalogue...”;
-
Set the “Radius (∘)” value of the “Cone Search” to 10 degrees for Band 1; 6 degrees for Band 3; or 3 degrees for Band 6 or 7 (suggested values);
-
In “Flux”, set “Min” to 0.13 Jy (Band 1), 0.18 Jy (Bands 3 or 6), or 0.27 Jy (Band 7) and click on “Submit Query”;
-
Ideally, select the entry with the highest “Flux Density”, and with empty “UV Min/Max” columns.
Searching for a phasor source in the ALMA Calibrator Source Catalogue
In the “Query Form” tab of the web interface, the RA and DEC information of the science target should be entered in the “Position” box. The suggested settings for the search radius are 10 degrees for Band 1, 6 degrees for Band 3, and 3 degrees for Bands 6 and 7. In the “Energy” box, “Flux Density” should be set to “>0.13” (Band 1), “>0.18” (Bands 3 and 6), or “>0.27” (Band 7). “Band” should be set to “3” for Band 3 observations, “7” for Band 7 observations, or “1,3,6,7” for observations in any other band. The reason for this recommendation is that ALMA’s flux check observations are more frequently executed in Bands 3 and 7, and less often in other bands. Hence, to retrieve a more contemporaneous flux value in case a direct measurement is not available, one can interpolate to the desired observing band. If the fluxes are old (more than 90 days), the JAO may decide to obtain an updated flux estimate of the phasor to check project feasibility. This calibration observation will not be charged to the project.
After clicking on the “Search” button, the “Result Table” will provide a list of phasor candidates. In case there is a need to interpolate to estimate a flux density in the observing band of interest, the PI can use the “getALMAflux” task from the Analysis Utils (which must be installed within CASA). The PI can also use the “Result Plot” for assessment, where pressing a given data point in the RA/DEC plot on the left-hand side will trigger a light curve plot to appear on the right-hand side. The PI should then provide the identified source in the “User-defined calibration” option (see above). Be aware that if the flux of the selected phasor decreases below the minimum flux density thresholds near the time of the expected observation execution an alternative source will have to be found in coordination with the Phase 2 Group.
What if no sufficiently bright phasor candidate is found?
Identified phasor sources will likely be variable, so it may be difficult to predict at the time of proposal submission what the flux will be during the observation. If a given candidate source is fainter than the recommended (band-dependent) flux density threshold at the time of proposal submission, but its light curve (available in the ALMA Calibrator Source Catalogue; see above) shows that it has been brighter in the past or has a rising flux potentially increasing above the threshold, the PI can propose that source as a phasor. In this case, PIs may wish to include a justification in the proposal and JAO will check the source’s flux closer to the VLBI campaign run. The project will be executed only if the selected source is observed to have a flux density sufficient for successful array phase-up at the time of schedule preparation (roughly 2 months prior to observation).
What if no phasor candidate is found within the suggested search radius?
If the proposed phasor source lies at a projected separation of more than 10 degrees from a Band 1 target, ≥ 6 degrees from a Band 3 target, or ≥3 degrees from a Band 6 or 7 target, there are additional considerations that should be taken into account. The guidelines for angular separation are based on observational conditions during a time of the year (March–May) when VLBI campaigns are usually run. These conditions imply, for example, that the phase RMS induced by atmospheric turbulence is likely to be up to ∼ 25 degrees (84% probability) for the characteristic phasing radius in Band 3 and up to ∼ 45 degrees (84% probability) in Band 6. Assuming a maximum acceptable signal decorrelation of ∼20%, Figure 10.8 in the Technical Handbook leads to the recommended maximum phasor separations noted above. In general, the farther from the target the phasor lies, the higher the expected signal decorrelation losses owing to differing atmospheric lines-of-sight for phasor and target, as well as longer slew overheads (during which the atmosphere may change, particularly at high frequency). Note that there are significant limits to how much QA2 analysis can compensate for these decorrelation losses in post-processing, and this will depend in part on whether the schedule allows for a robust gain solution interpolation between scans. In extreme cases, the flux calibration will become highly uncertain because of the loss in correlated amplitude. Considering these issues, the PI can still propose a phasor that is farther away than the guidelines suggest, but it must be justified with regard to how it is likely to impact the data quality and whether the science goals can still be achieved.
B.6.2 Spectral line
For VLBI spectral line experiments the ALMA TJ should include a justification of the need for ALMA, as well as a description of the properties of the spectral line of interest, including: rest frequency, expected peak line flux on a 1 km baseline, peak brightness temperature, anticipated correlated flux density on a 5000 km baseline, Local Standard of Rest (LSR) velocity of line peak, and total line width (in km s−1). The TJ should also specify the total observing time requested (including time for calibration). If imaging is requested, imaging considerations should be described (e.g., dynamic range issues or complex source structure), along with any other special technical requirements. Lastly, the best available coordinates and proper motion of the line target should be specified.
A caution regarding target coordinate specification for spectral line VLBI: the field-of-view of the phased array beam is effectively limited to the size of the synthesized beam of the ALMA array. Because many Galactic sources have significant proper motions, it is essential that these corrections to the target position be accounted for; failure to do so may result in the target falling outside of the phased array beam and a complete loss of the data. Note also that the procedure for specification of proper motion corrections is different for VLBI than for standard ALMA observations. In general, VLBI observations require that the J2000 coordinates of the source include the proper motion corrections appropriate for the epoch of the observation. These PI-specified coordinates will be used directly in the VLBI Experiment (VEX) files at all participating sites, including ALMA, and any other proper motion corrections will be zeroed during the observation.
The VLBI TJ for spectral line experiments should describe the overall science goals and should specify the list of GMVA stations being requested. A list of candidate VLBI bandpass, fringe-finder, and polarization calibrators should be indicated, as well as the requested VLBI correlator set-up.
Spectral line experiments allow the PI some flexibility in specifying details of the correlation output, subject to certain restrictions owing to data volume considerations and human resource limitations at the VLBI correlators. Particulars of the VLBI correlation set-up requested should therefore be described in the TJ, including: (i) spectral resolution (in multiples of 15.625 kHz); (ii) frequency center of the correlation passband; (iii) total correlated bandwidth ( ≤ 128 MHz); and (iv) time resolution (in multiples of 512 milliseconds). By default, all four Stokes products will be delivered for all experiments. At minimum, the requested total bandwidth should be sufficient to include all line emission from the target as well as a number of line-free channels (e.g., ∼ 20% of the total band). Details of the correlation set-ups are rather involved and an exact match to the specifications proposed by the PI may not be possible in all cases. Owing to limited resources at the VLBI correlators, for Cycle 13 a maximum of two correlator passes will be allowed per project. Proposers are encouraged to consult the ALMA Helpdesk if they are uncertain about the optimum specifications for their science needs.
As noted in Appendix A.12, in order for array phase-up to be performed during observations of spectral line targets, it is necessary that the line target has a sufficiently large peak flux density on intra-ALMA baselines to ensure robust performance of the phasing system. Because nonthermal (maser) emission lines are often time-variable, it may be impossible to know whether a particular source will meet this criterion at the time of Cycle 13 VLBI session. In such cases proposers may request that JAO perform a test observation a few weeks in advance of the scheduled VLBI session to verify the line flux density of the primary target. Spectral line targets not meeting the flux density requirements for active phase-up may instead be observed using passive phasing (see Appendix A.12), provided that the penalty in additional overheads does not preclude achieving the science objectives and that the science target has not become too weak to detect on global baselines. Alternatively, for line sources with sufficiently strong and compact continuum emission, active array phase-up may be performed using the target’s continuum emission.
B.7 Phased Array observations
Proposers should first read the Phased Array mode sections of the ALMA Cycle 13 Technical Handbook, paying particular attention to the items discussed in the TJ portion of these sections. As passive phasing is enforced for this mode, the choice of a fixed phase calibrator (“phasor”) must be made and justified. Additional inputs are also required to construct the Scheduling Block and these should be provided in the text box titled “Phased Array Technical Justification including Post-Processing”:
-
Total observing time requested. To cover a sufficient parallactic angle range on the polarization calibrator, typically ∼ 3 hours are required. However, the proposer should indicate how much time is needed on target for the analysis (see below).
-
Time resolution. The time resolution of the PSRFITS file must be a multiple of 8 μs; if lower time resolution is adequate, this should be specified to avoid larger than needed PSRFITS files.
-
The polarization of the PSRFITS data product. The proposer can select from total intensity, dual polarizations (XX and YY), coherence product, or full Stokes.
-
The pulsar period. If Phased Array mode is to be used for pulsar science, the period should be provided if it is known. This is necessary to ensure that the cadence of the correlator subscans (multiples of 1.008 seconds) does not interfere with the pulsar signal.
A caution on target coordinate specification for Phased Array observations: the field-of-view of the phased array beam is effectively limited to that of the synthesized beam of the ALMA array. Because many Galactic pulsars have significant proper motions, it is crucial that these corrections be applied to the target’s J2000 coordinates when setting up the observations. The procedure for specification of proper motion corrections is different for Phased Array observations than for standard ALMA observing; specifically, Phased Array observations require that the J2000 coordinates of the source include the proper motion corrections appropriate for the epoch of the observation. These PI-specified coordinates will be adopted directly in the VLBI schedule used to execute the observations and no other proper motion corrections will be applied by the online system.
Computing the required array time for pulsar observations
When in Phased Array mode, the digitized voltage signals from each ALMA antenna of the phased array are phase-adjusted and added to provide the phased signal that is recorded. This process is done for each polarization, and the phased array includes most, but not all, available antennas. This is different from the interferometric signal that results from the correlated voltage signal from each antenna. On top of that, pulsar observations aim to detect the flux of a pulsed signal rather than a continuous one. As a result, the online sensitivity calculator does not provide the correct sensitivity for phased-array pulsar observations. To compute the required total array time for pulsar observations, one should start by computing the time on source (Tint, in hours) following the formula in Appendix A1.4 in the Handbook of Pulsar Astronomy (Lorimer & Kramer 2004), which may be expressed as:
![]()
Here, W is the pulse width; P is the pulse period (typical values are W = C * P where C=0.05 to 0.1); the System Equivalent Flux Density (SEFD) for 37 phased antennas is 40 Jy (Band 1), 69 Jy (Band 3), 97 Jy (Band 6), or 160 Jy (Band 7); RMS is the requested noise level (in Jy); Np is the number of polarizations and should be set to 2; Nsp is the requested number of spectral windows; Δf is the bandwidth of each correlator quadrant in Hz (1.875e9 Hz for the present ALMA 64-input Correlator), and ηeff is the end-to-end passive-phasing efficiency of ∼ 0.74.
To estimate the total required observing time on source (including overheads), the user should multiply the computed Tint by three.8 The result is the value the PI should provide in the ALMA OT. Note, however, that to ensure reliable polarization calibration of the data, the total observing time specified should never be less than 3 hours.
B.8. Band-to-band Calibration
There is no additional technical justification required if a SG using high-frequencies triggers the B2B mode. All additional calibrations and overheads are included automatically by the ALMA OT.
C. Acronyms and abbreviations
2SB Dual-sideband
ACA Atacama Compact Array
ACD Amplitude Calibration Device
ALMA Atacama Large Millimeter/submillimeter Array
ANID Agencia Nacional de Investigación y Desarrollo
AOS Array Operations Site
APEX ALMA Pathfinder EXperiment
APRC ALMA Proposal Review Committee
APT (STScI’s) Astronomer’s Proposal Tool
AR Angular Resolution
ARC ALMA Regional Center (for EA and NA) or Centre (for Europe)
ASC ALMA Sensitivity Calculator
ASIAA Academia Sinica Institute of Astronomy and Astrophysics
AUI Associated Universities, Inc.
B2B Band-to-band
BWSW Bandwidth Switching
CASA Common Astronomy Software Applications
CfP Call for Proposals
CLT Chile Standard Time
Co-I Co-Investigator
Co-PI Co-Principal Investigator
CS Contact Scientist
DDT Director’s Discretionary Time
DEC Declination
DGC Differential Gain Calibration
DSB Double-sideband
EHT Event Horizon Telescope
EPO Education and Public Outreach
ESO European Organisation for Astronomical Research in the Southern Hemisphere
ETC Exposure Time Calculator
EVN European VLBI Network
FDM Frequency Division Mode
FRM Fast Regional Mapping
FWHM Full Width at Half Maximum
GMVA Global Millimeter VLBI Array
GTO Guaranteed Time Observation
ICRS International Celestial Reference System
IDR Imaging Dynamic Range
IF Intermediate Frequency
JAO Joint ALMA Observatory
JWST James Webb Space Telescope
KASI Korea Astronomy and Space Science Institute
LAS Largest Angular Structure
LO1 Local Oscillator 1
LSR Local Standard of Rest
LST Local Sidereal Time
MRS Maximum Recoverable Scale
NAASC North American ALMA Science Center
NAOJ National Astronomical Observatory of Japan
NINS National Institutes of Natural Sciences
NRAO National Radio Astronomy Observatory
NRC National Research Council of Canada
NSF National Science Foundation
NSTC National Science and Technology Council
OSF Operation Support Facility
OST Observation Support Tool
OT Observing Tool
PDF Portable Document Format
PHT Proposal Handling Team
PI Principal Investigator
PSRFITS FITS-based format for pulsar data files
PWV Precipitable Water Vapor
QA Quality Assurance
QA0 Quality Assurance Level 0
QA2 Quality Assurance Level 2
QA3 Quality Assurance Level 3
RA Right Ascension
RMS Root Mean Square
S/N Signal-to-noise
SB Scheduling Block
SCO Santiago Central Office
SEFD System Equivalent Flux Density 65
SG Science Goal
SnooPI Snooping Project Interface
spw Spectral window
SSO Solar System Object
STScI Space Telescope Science Institute
TDM Time Division Mode
TJ Technical Justification
ToO Target of Opportunity
TP Total Power
UTC Universal Coordinated Time
VEX VLBI Experiment
VLA Very Large Array
VLBI Very Long Baseline Interferometry
VLT Very Large Telescope
WVR Water Vapor Radiometer
D. Science categories and keywords
The list below presents the available science categories and the corresponding keywords that can be used in the ALMA OT to further specify the scientific area of the proposal. Proposers must select at least one and at most two keywords.
Category 1 – Cosmology and the high redshift universe
-
Lyman Alpha Emitters/Blobs (LAE/LAB)
-
Lyman Break Galaxies (LBG)
-
Starburst galaxies
-
Sub-mm Galaxies (SMG)
-
High-z Active Galactic Nuclei (AGN)
-
Gravitational lenses
-
Damped Lyman Alpha (DLA) systems
-
Cosmic Microwave Background (CMB)/Sunyaev-Zel’dovich Effect (SZE)
-
Galaxy structure & evolution
-
Gamma Ray Bursts (GRB)
-
Galaxy Clusters
Category 2 – Galaxies and galactic nuclei
-
Starbursts, star formation
-
Active Galactic Nuclei (AGN)/Quasars (QSO)
-
Spiral galaxies
-
Merging and interacting galaxies
-
Surveys of galaxies
-
Outflows, jets, feedback
-
Early-type galaxies
-
Galaxy groups and clusters
-
Galaxy chemistry
-
Galactic Centers/nuclei
-
Dwarf/metal-poor galaxies
-
Luminous and Ultra-Luminous Infra-Red Galaxies (LIRG & ULIRG)
-
Giant Molecular Clouds (GMC) properties
Category 3 – ISM, star formation and astrochemistry
-
Outflows, jets and ionized winds
-
High-mass star formation
-
Intermediate-mass star formation
-
Low-mass star formation
-
Pre-stellar cores, Infra-Red Dark Clouds (IRDC)
-
Astrochemistry
-
Inter-Stellar Medium (ISM)/Molecular clouds
-
Photon-Dominated Regions (PDR)/X-Ray Dominated Regions (XDR)
-
HII regions
-
Magellanic Clouds
Category 4 – Circumstellar disks, exoplanets and the solar system
-
Debris disks
-
Disks around low-mass stars
-
Disks around high-mass stars
-
Exoplanets
-
Solar system: Comets
-
Solar system: Planetary atmospheres
-
Solar system: Planetary surfaces
-
Solar system: Trans-Neptunian Objects (TNOs)
-
Solar system: Asteroids
Category 5 – Stellar evolution and the Sun
-
The Sun
-
Main sequence stars
-
Asymptotic Giant Branch (AGB) stars
-
Post-AGB stars
-
Hypergiants
-
Evolved stars: Shaping/physical structure
-
Evolved stars: Chemistry
-
Cataclysmic stars
-
Luminous Blue Variables (LBV)
-
White dwarfs
-
Brown dwarfs
-
Supernovae (SN) ejecta
-
Pulsars and neutron stars
-
Black holes
-
Transients
-
Support of the Taiwanese astronomical community is shared by the EA and NA ARCs.↩︎
-
See https://www.eso.org/sci/observing/phase2/SMPhilosophy.html↩︎
-
The most recent news on instrument availability can be found on the ESO period-specific call for proposals. The latest available ESO call can be accessed via: https://www.eso.org/sci/facilities/lpo/cfp.↩︎
-
For specific simulation or planning purposes, the concept of “notional configuration” is used in the document to refer to a configuration comprising 43 antennas. Files describing the notional configurations for the 12-m (C43-1 through C43-10) and 7-m Arrays suitable for Common Astronomy Software Applications (CASA) simulations are available from the Science Portal. Despite containing 43 antennas, these may be used to simulate observations using C-1 through C-10, respectively.↩︎
-
During southern summer, the high-pressure system over the Pacific Ocean weakens and moves southwards, allowing warm humid air from the Amazons to flow over the Andes into northern Chile, causing rain and occasionally snow to fall on the usually dry Altiplano: this phenomenon is known as Altiplanic winter.↩︎
-
All ALMA users are encouraged to update their user profile on the Science Portal and select keywords pertaining to their expertise. The distributed review proposal assignment algorithm will use the selected keywords of the reviewer’s expertise for matching assignments. Review assignment matching is therefore optimized for individual reviewers’ expertise when the information provided in the users’ profile is up to date and accurate.↩︎
-
For VLBI proposals, both ALMA and the appropriate VLBI network must accept a given proposal for the observations to be scheduled.↩︎
-
This overhead factor is smaller than for the VLBI case because VLBI observations require the observation of specific calibrators that are not needed for pulsar observations.↩︎
